首页 > 声乐 > 简谱 / 正文内容_听风的歌-听风的歌,郭富城简谱

听风的歌-听风的歌,郭富城简谱

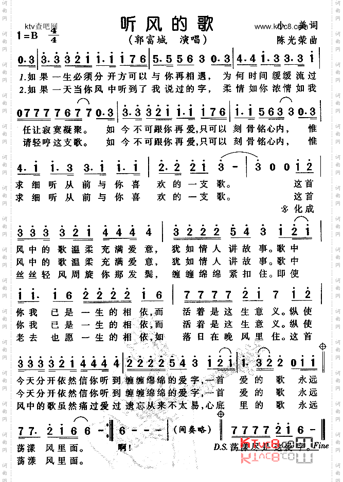
听风的歌

相关话题:听风的歌   郭富城

乐器分类
戏曲专栏
热门话题