首页 > 声乐 > 简谱 / 正文内容_每当五星红旗升起-邬洁梅,吴雄,八一军歌红霞简谱

每当五星红旗升起-邬洁梅,吴雄,八一军歌红霞简谱

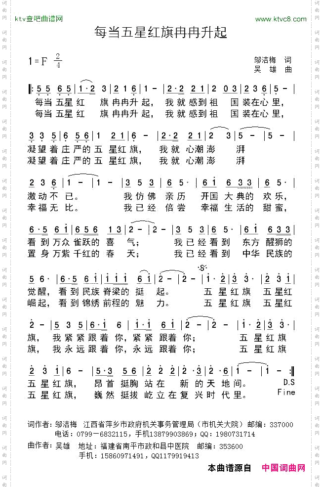
每当五星红旗升起

相关话题:邬洁梅   吴雄   八一军歌红霞

乐器分类
戏曲专栏
热门话题