首页 > 声乐 > 简谱 / 正文内容_我们结婚吧-我们结婚吧,金莎,刘佳,金莎,刘佳简谱

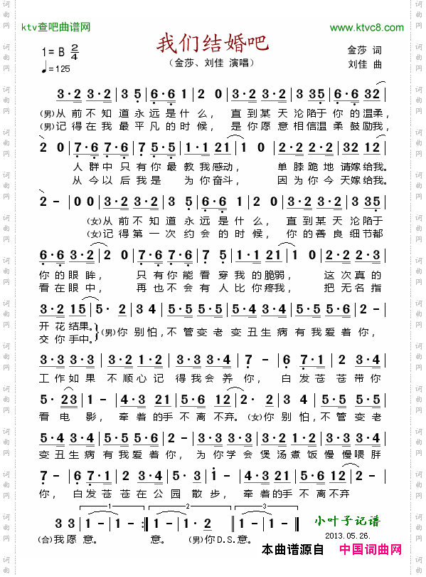
我们结婚吧-我们结婚吧,金莎,刘佳,金莎,刘佳简谱

我们结婚吧

相关话题:我们结婚吧   金莎   刘佳   金莎   刘佳

乐器分类
戏曲专栏
热门话题