首页 > 声乐 > 简谱 / 正文内容_新时代的兵-新时代的兵,梁晓静,雪中莲,王顺芳简谱

新时代的兵-新时代的兵,梁晓静,雪中莲,王顺芳简谱

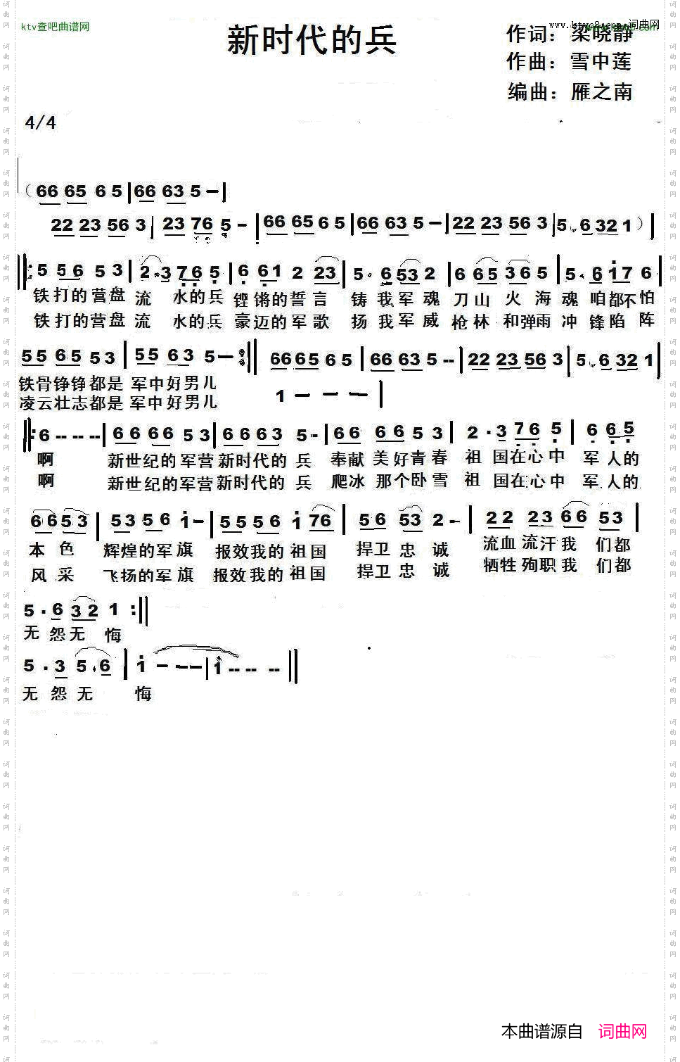
新时代的兵

相关话题:新时代的兵   梁晓静   雪中莲   王顺芳

乐器分类
戏曲专栏
热门话题