首页 > 声乐 > 简谱 / 正文内容_小星星熊志华词苏家伟曲-熊志华,苏家伟简谱

小星星熊志华词苏家伟曲-熊志华,苏家伟简谱

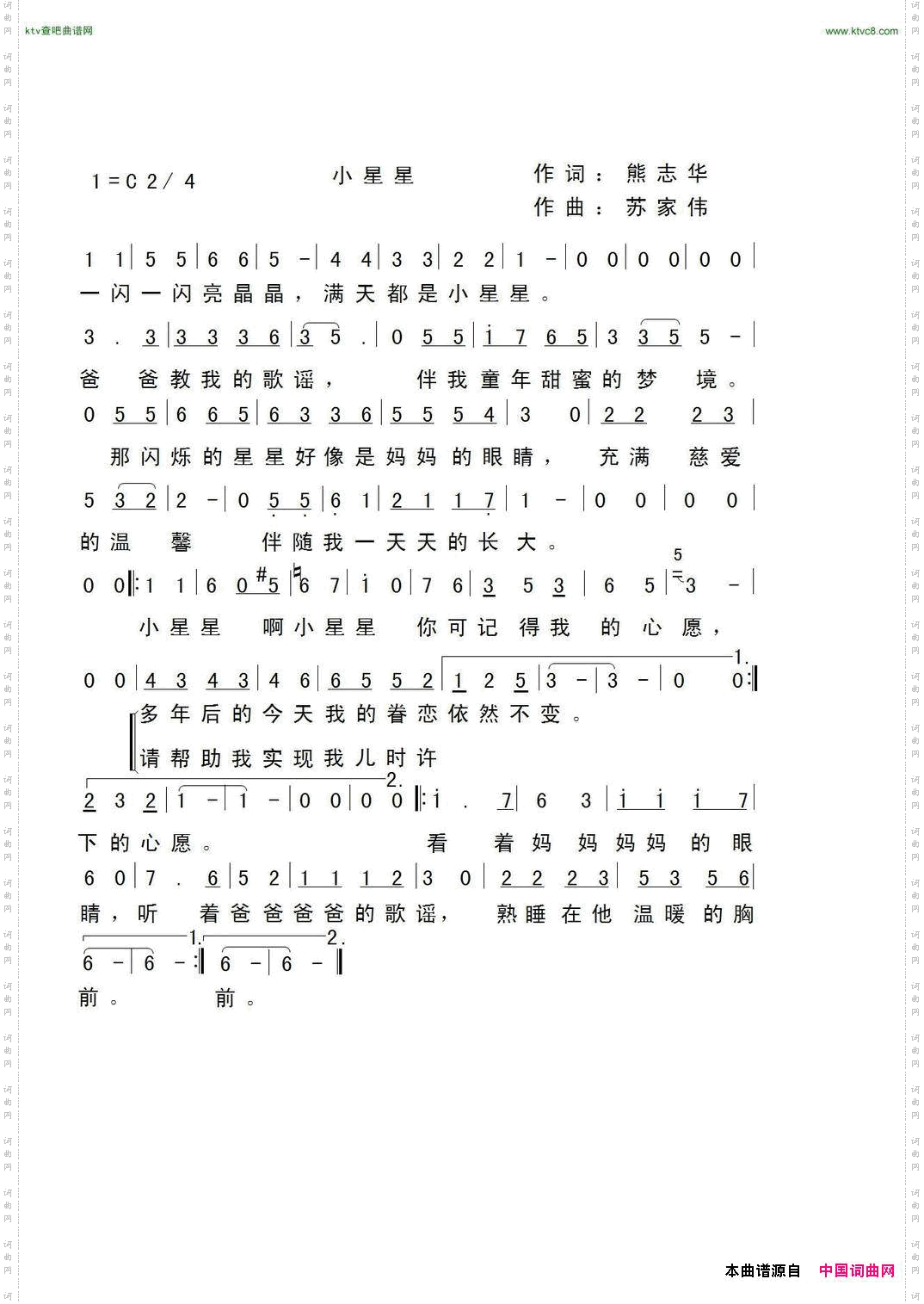
小星星熊志华词苏家伟曲

相关话题:熊志华   苏家伟

乐器分类
戏曲专栏
热门话题