首页 > 声乐 > 简谱 / 正文内容_妈妈娘好糊涂东北民歌-希扬简谱

妈妈娘好糊涂东北民歌-希扬简谱

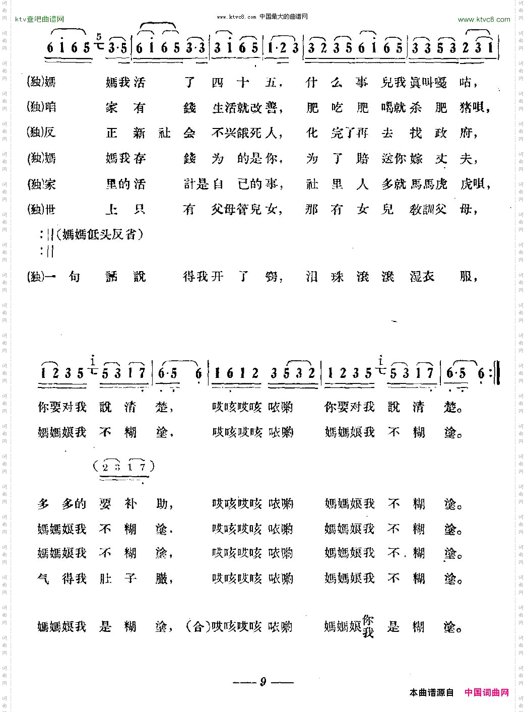
妈妈娘好糊涂东北民歌

妈妈娘好糊涂东北民歌

相关话题:希扬

乐器分类
戏曲专栏
热门话题