首页 > 声乐 > 简谱 / 正文内容_年轻的朋友来相会-简谱

年轻的朋友来相会-简谱

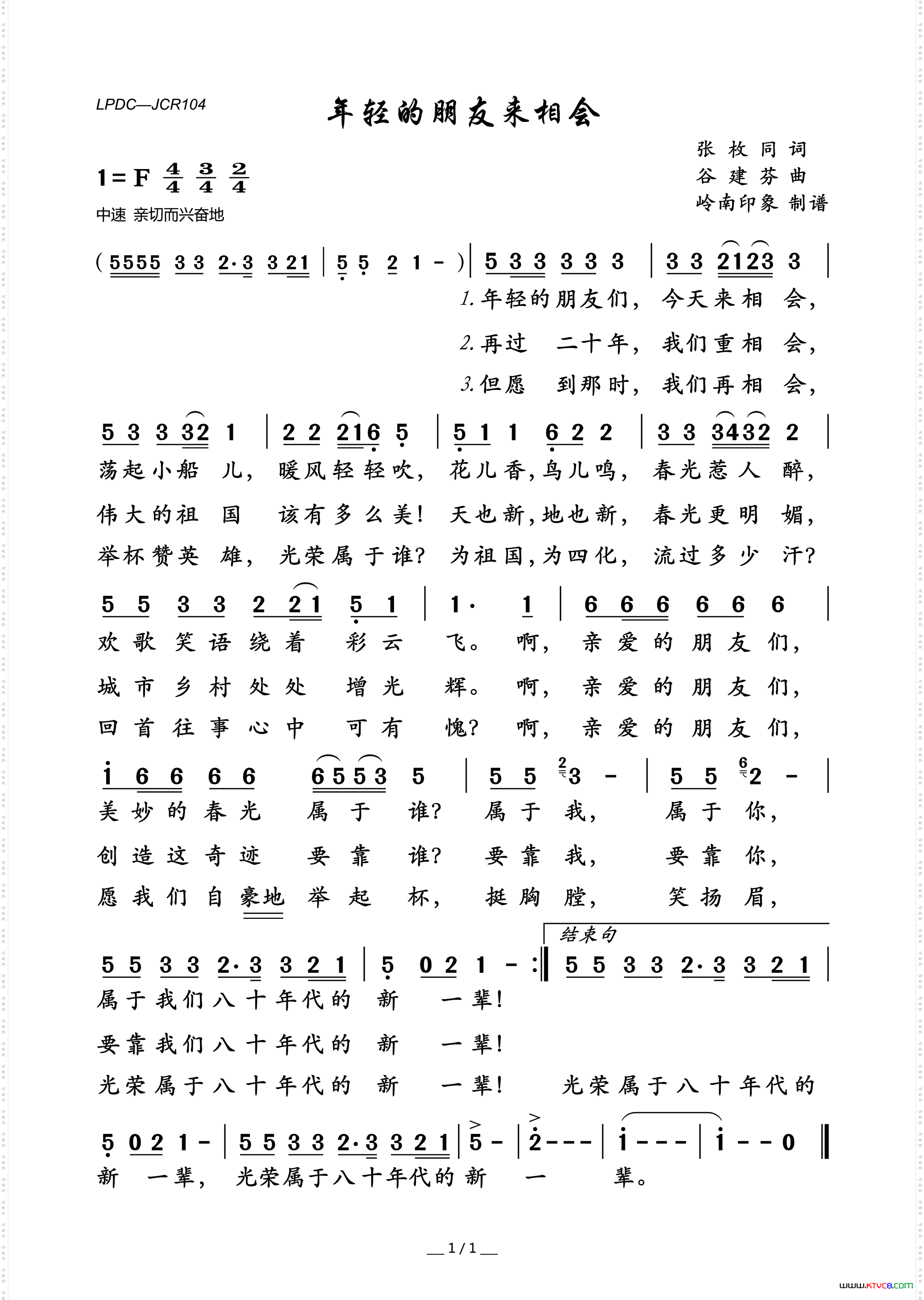
年轻的朋友来相会

相关话题:

猜你喜欢的简谱

    暂无相关信息
乐器分类
戏曲专栏
热门话题