首页 > 声乐 > 简谱 / 正文内容_这就是经区-这就是经区,陈雷,鲁新华简谱

这就是经区-这就是经区,陈雷,鲁新华简谱

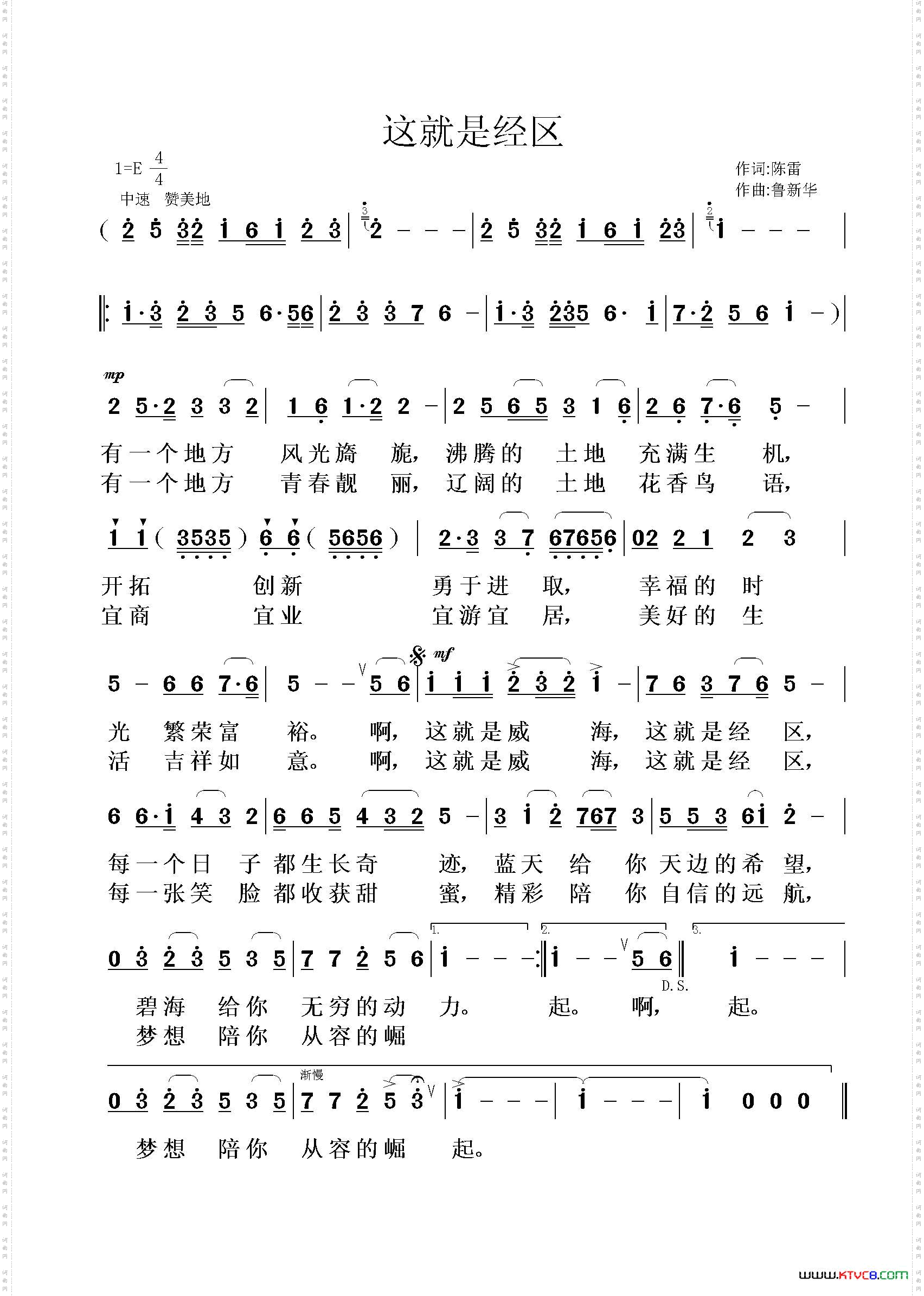
这就是经区

相关话题:这就是经区   陈雷   鲁新华

乐器分类
戏曲专栏
热门话题