首页 > 声乐 > 简谱 / 正文内容_春天圆舞曲-春天圆舞曲,刘瞬丽,苟华丰简谱

春天圆舞曲-春天圆舞曲,刘瞬丽,苟华丰简谱

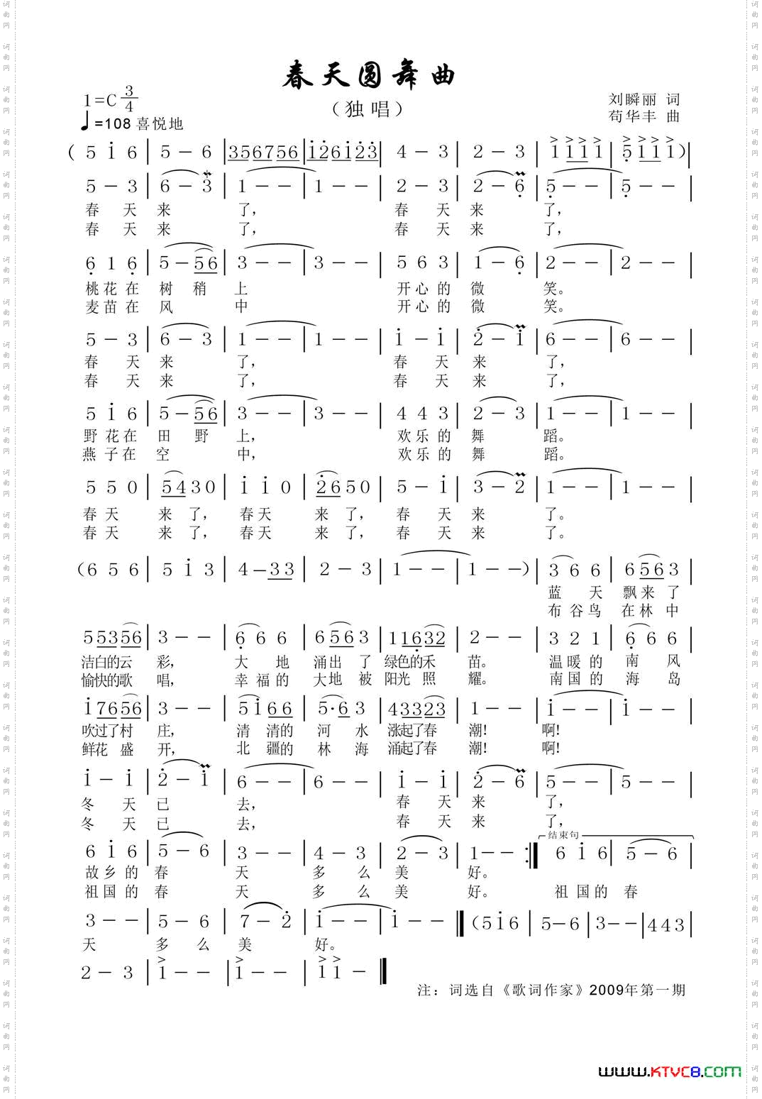
春天圆舞曲

相关话题:春天圆舞曲   刘瞬丽   苟华丰

乐器分类
戏曲专栏
热门话题