首页 > 声乐 > 简谱 / 正文内容_快乐盛满小笑涡-简谱

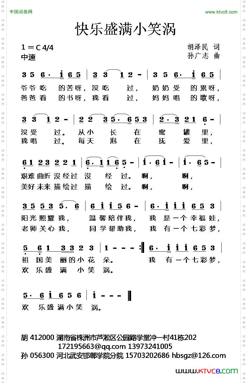
快乐盛满小笑涡-简谱

快乐盛满小笑涡

相关话题:

猜你喜欢的简谱

    暂无相关信息
乐器分类
戏曲专栏
热门话题