首页 > 声乐 > 简谱 / 正文内容_永远怀念你,我的母校-朱小泉,朱小泉简谱

永远怀念你,我的母校-朱小泉,朱小泉简谱

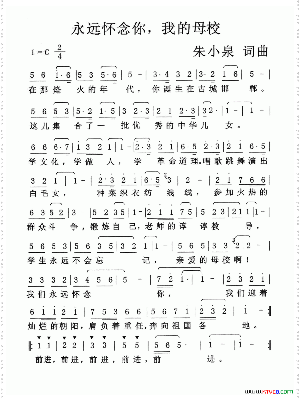
永远怀念你,我的母校

相关话题:朱小泉   朱小泉

乐器分类
戏曲专栏
热门话题