首页 > 声乐 > 简谱 / 正文内容_红都瑞金颂-红都瑞金颂简谱

红都瑞金颂-红都瑞金颂简谱

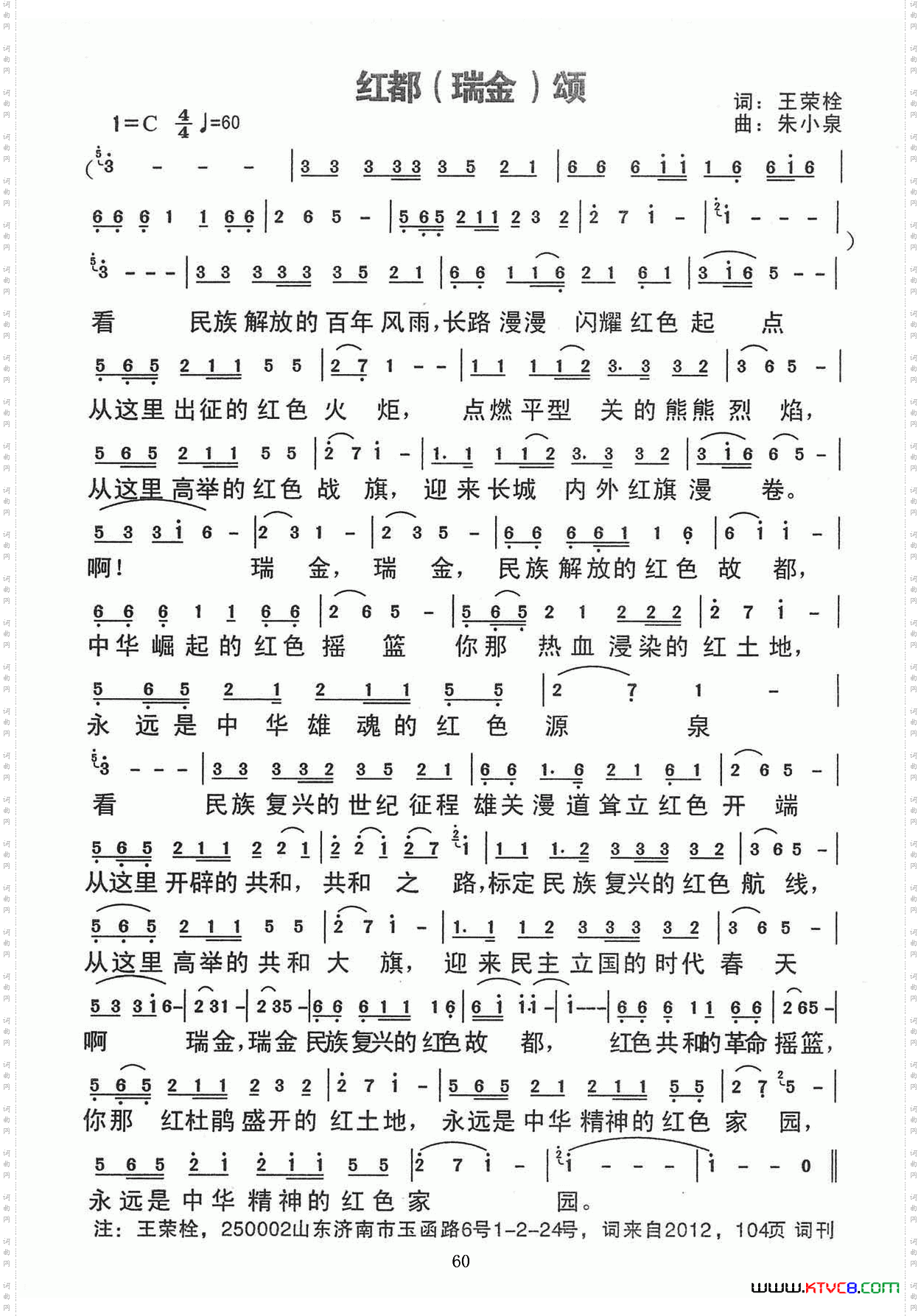
红都瑞金颂

相关话题:红都瑞金颂

猜你喜欢的简谱

    暂无相关信息
乐器分类
戏曲专栏
热门话题