首页 > 声乐 > 简谱 / 正文内容_莉莉·玛琳-莉莉·玛琳简谱

莉莉·玛琳-莉莉·玛琳简谱

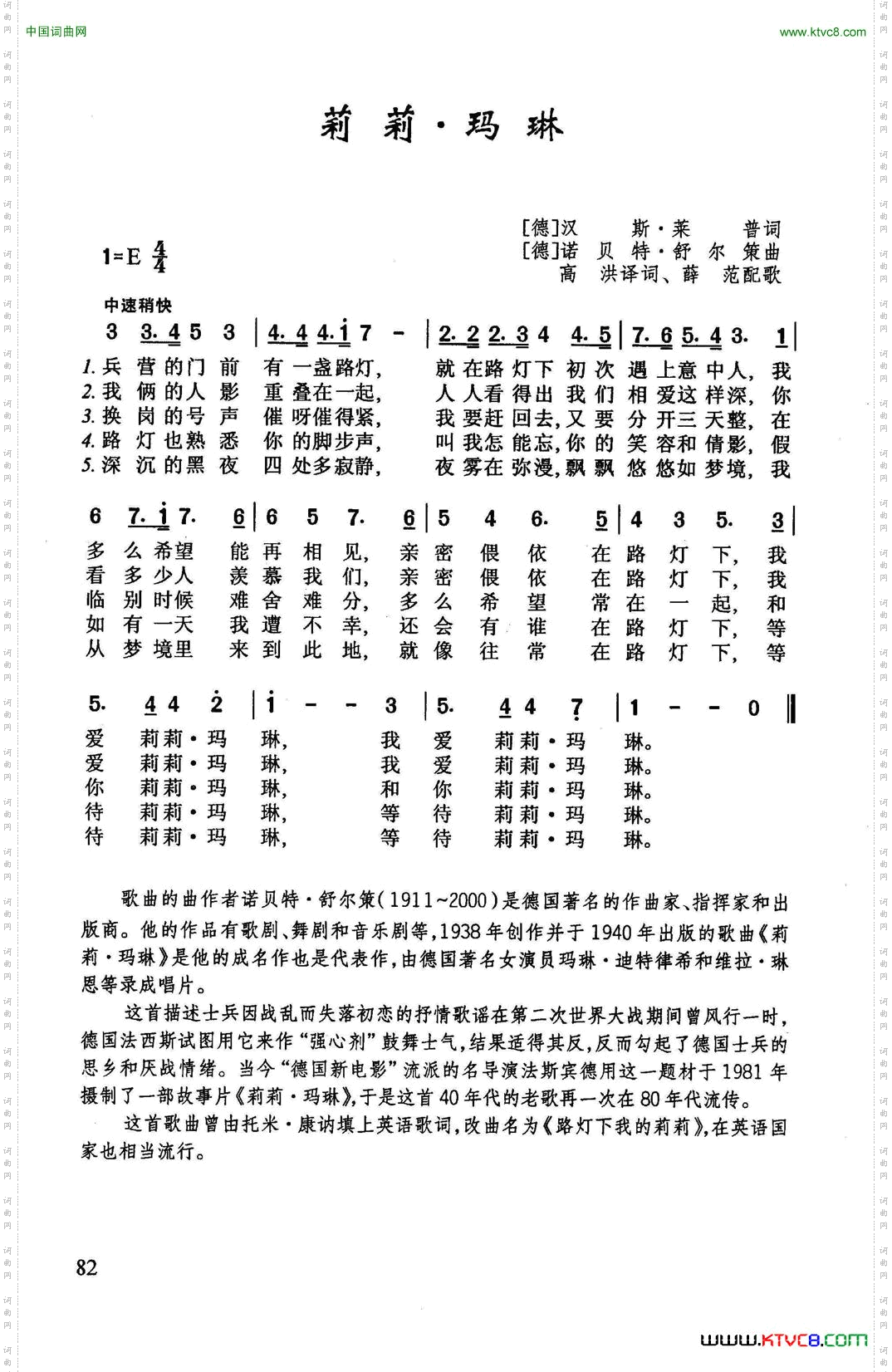
莉莉·玛琳

相关话题:莉莉·玛琳

乐器分类
戏曲专栏
热门话题