首页 > 声乐 > 简谱 / 正文内容_喜咏中国梦-喜咏中国梦,杨昌强,杨永庆,杨昌强,杨永庆简谱

喜咏中国梦-喜咏中国梦,杨昌强,杨永庆,杨昌强,杨永庆简谱

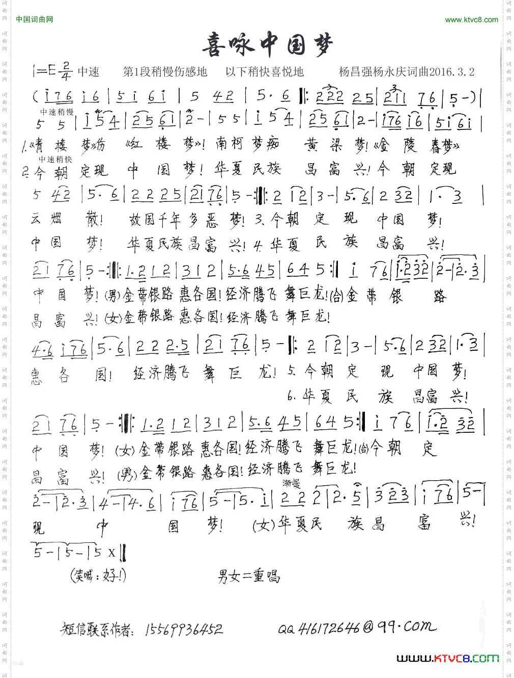
喜咏中国梦

相关话题:喜咏中国梦   杨昌强   杨永庆   杨昌强   杨永庆

乐器分类
戏曲专栏
热门话题