首页 > 声乐 > 简谱 / 正文内容_FOLLOWME看奥运-颂今,颂今简谱

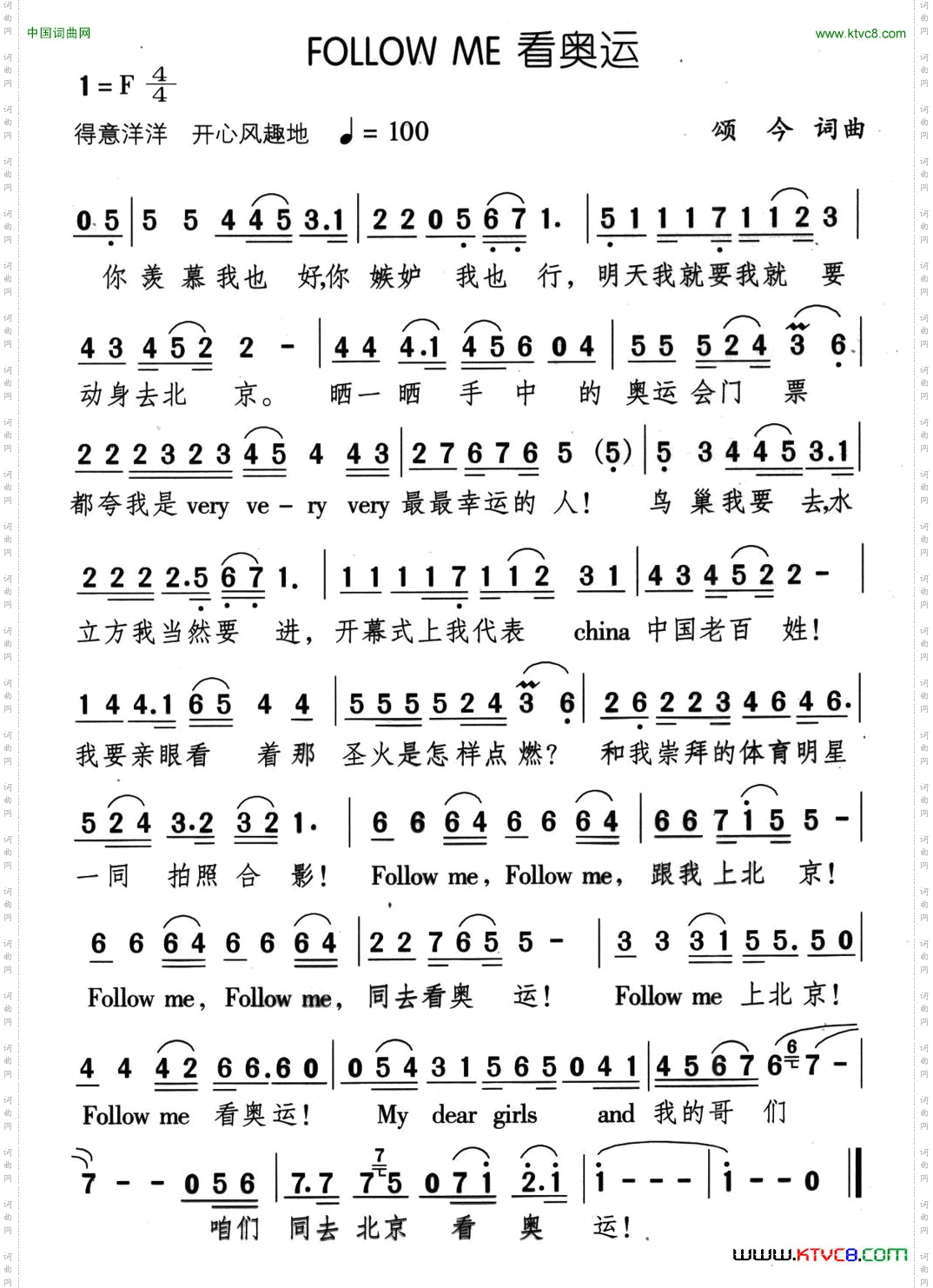
FOLLOWME看奥运-颂今,颂今简谱

FOLLOWME看奥运

相关话题:颂今   颂今

乐器分类
戏曲专栏
热门话题