首页 > 声乐 > 简谱 / 正文内容_雨露阳光春风_儿童歌舞剧《七棵小果树》曲三-雨露阳光春风,千红,颂今,颂今简谱

雨露阳光春风_儿童歌舞剧《七棵小果树》曲三-雨露阳光春风,千红,颂今,颂今简谱

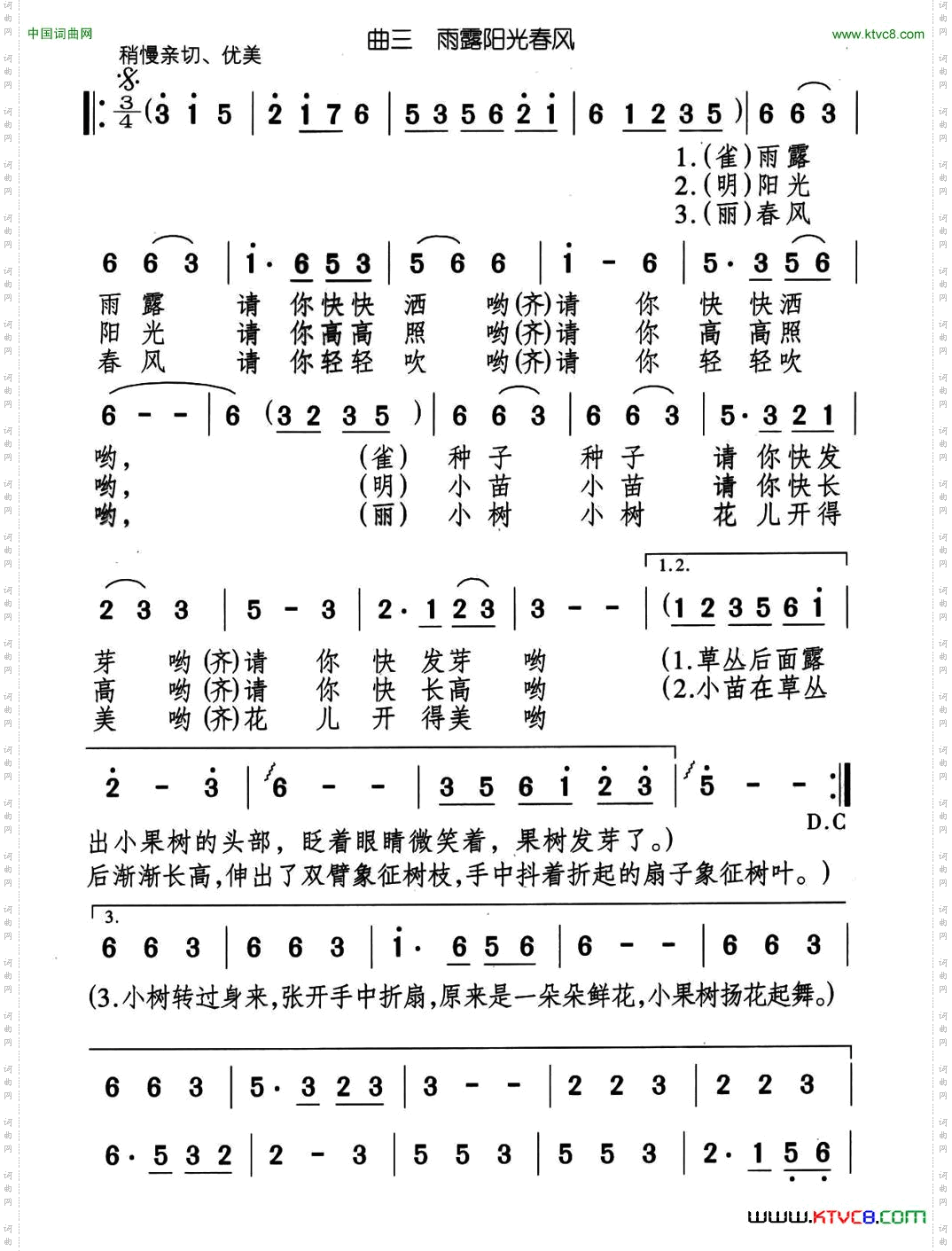
雨露阳光春风_儿童歌舞剧《七棵小果树》曲三

雨露阳光春风_儿童歌舞剧《七棵小果树》曲三

相关话题:雨露阳光春风   千红   颂今   颂今

乐器分类
戏曲专栏
热门话题