首页 > 声乐 > 简谱 / 正文内容_歌声飞进春风里_儿童歌舞剧《七棵小果树》曲一-千红,颂今,颂今简谱

歌声飞进春风里_儿童歌舞剧《七棵小果树》曲一-千红,颂今,颂今简谱

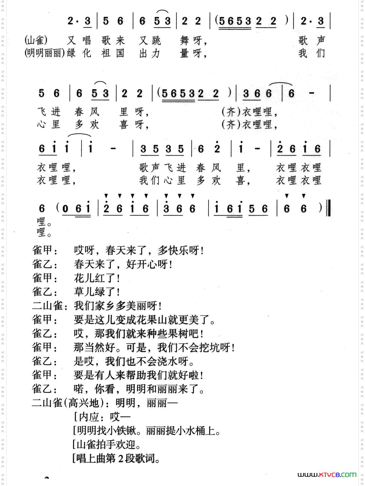
歌声飞进春风里_儿童歌舞剧《七棵小果树》曲一

歌声飞进春风里_儿童歌舞剧《七棵小果树》曲一

相关话题:千红   颂今   颂今

乐器分类
戏曲专栏
热门话题