首页 > 声乐 > 简谱 / 正文内容_红烛泪张丹词张艺军曲_红烛泪张丹词 张艺军曲-简谱

红烛泪张丹词张艺军曲_红烛泪张丹词 张艺军曲-简谱

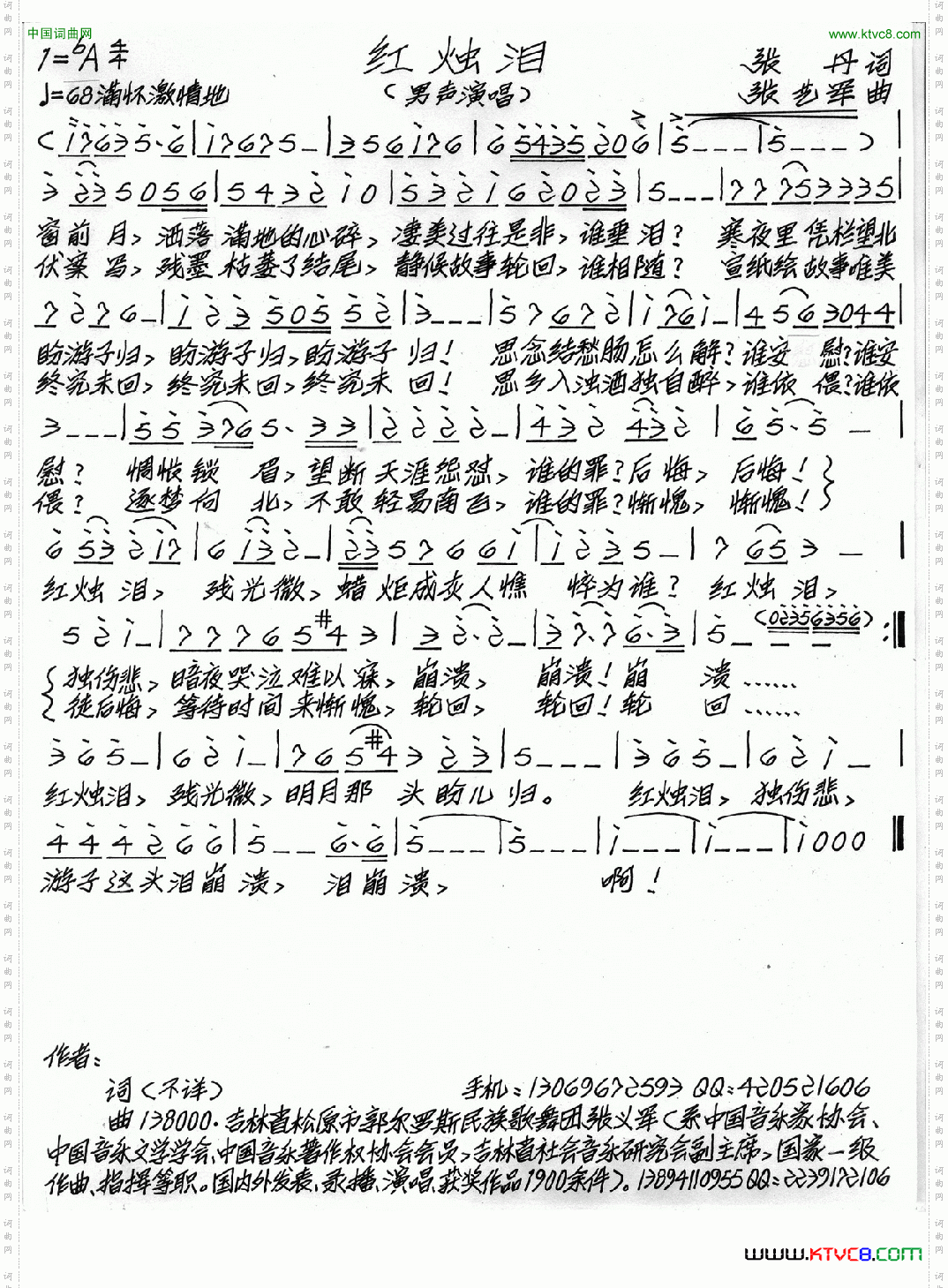
红烛泪张丹词张艺军曲_红烛泪张丹词 张艺军曲

相关话题:

猜你喜欢的简谱

    暂无相关信息
乐器分类
戏曲专栏
热门话题