首页 > 声乐 > 简谱 / 正文内容_亲家母对花-亲家母对花,王肯,刘中,先程简谱

亲家母对花-亲家母对花,王肯,刘中,先程简谱

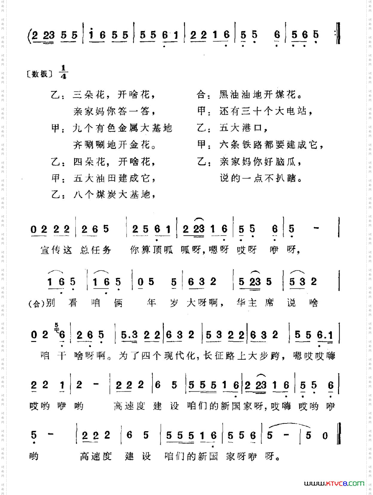
亲家母对花

亲家母对花

亲家母对花

相关话题:亲家母对花   王肯   刘中   先程

乐器分类
戏曲专栏
热门话题