首页 > 声乐 > 简谱 / 正文内容_月老说的谎-月老说的谎,檀东晓,檀东晓简谱

月老说的谎-月老说的谎,檀东晓,檀东晓简谱

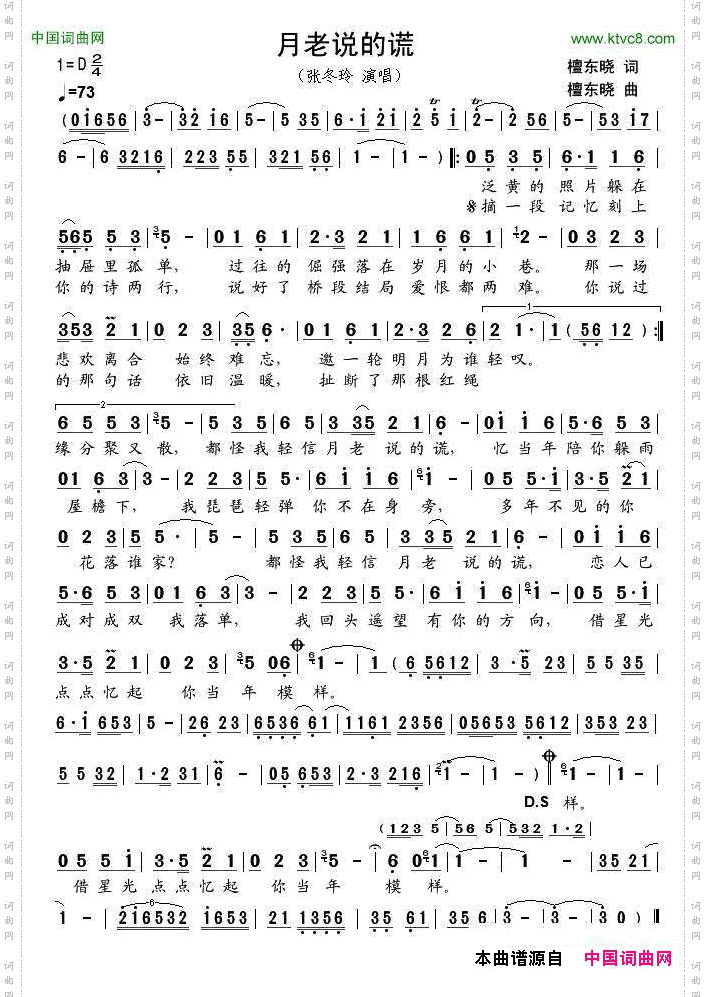
月老说的谎

相关话题:月老说的谎   檀东晓   檀东晓

乐器分类
戏曲专栏
热门话题