首页 > 声乐 > 简谱 / 正文内容_亲亲牡丹亲亲你-吕永清,齐朝辉,江虹娇,欧阳雄波简谱

亲亲牡丹亲亲你-吕永清,齐朝辉,江虹娇,欧阳雄波简谱

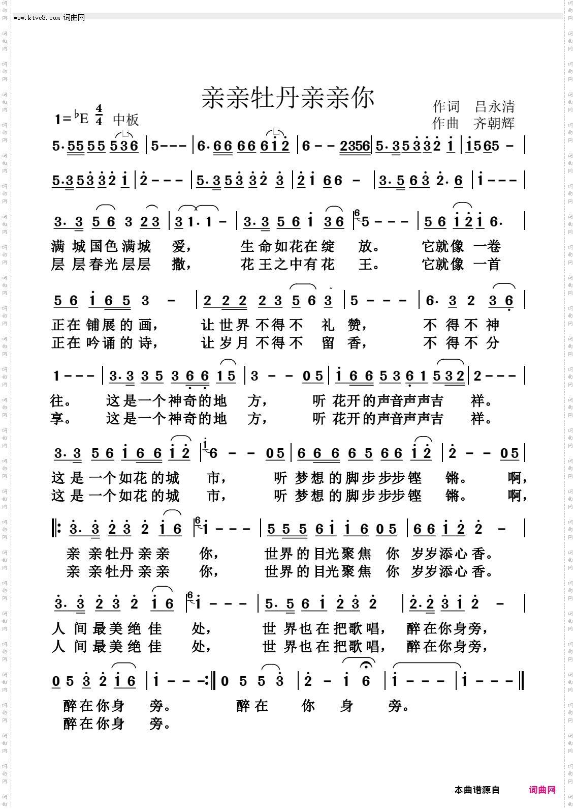
亲亲牡丹亲亲你

相关话题:吕永清   齐朝辉   江虹娇   欧阳雄波

乐器分类
戏曲专栏
热门话题