首页 > 声乐 > 简谱 / 正文内容_丝路明珠-丝路明珠简谱

丝路明珠-丝路明珠简谱

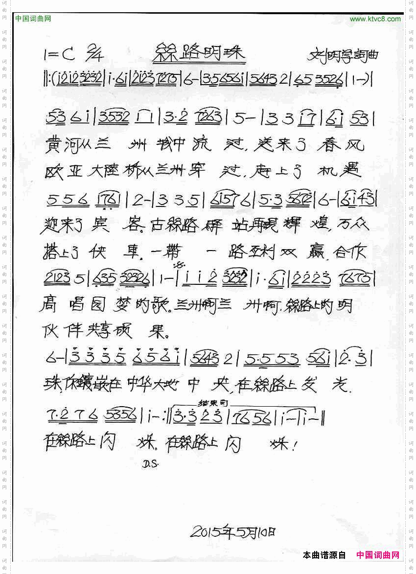
丝路明珠

相关话题:丝路明珠

猜你喜欢的简谱

    暂无相关信息
乐器分类
戏曲专栏
热门话题