首页 > 声乐 > 简谱 / 正文内容_我今天评上小红花-张华亭,天妮简谱

我今天评上小红花-张华亭,天妮简谱

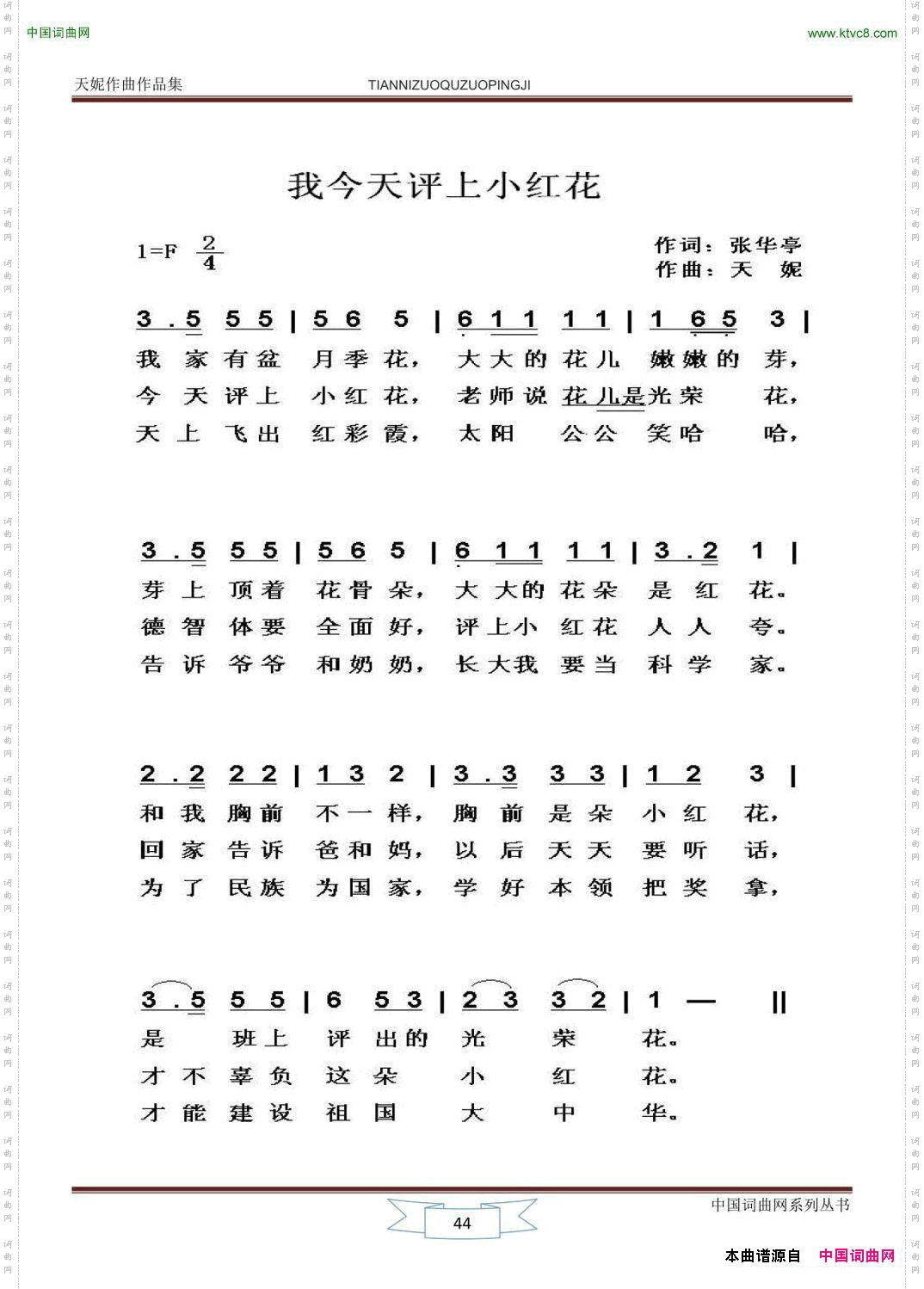
我今天评上小红花

相关话题:张华亭   天妮

乐器分类
戏曲专栏
热门话题