首页 > 声乐 > 简谱 / 正文内容_灯火里的中国_徐霞 演唱谱-灯火里的中国,田地,舒楠,徐霞简谱

灯火里的中国_徐霞 演唱谱-灯火里的中国,田地,舒楠,徐霞简谱

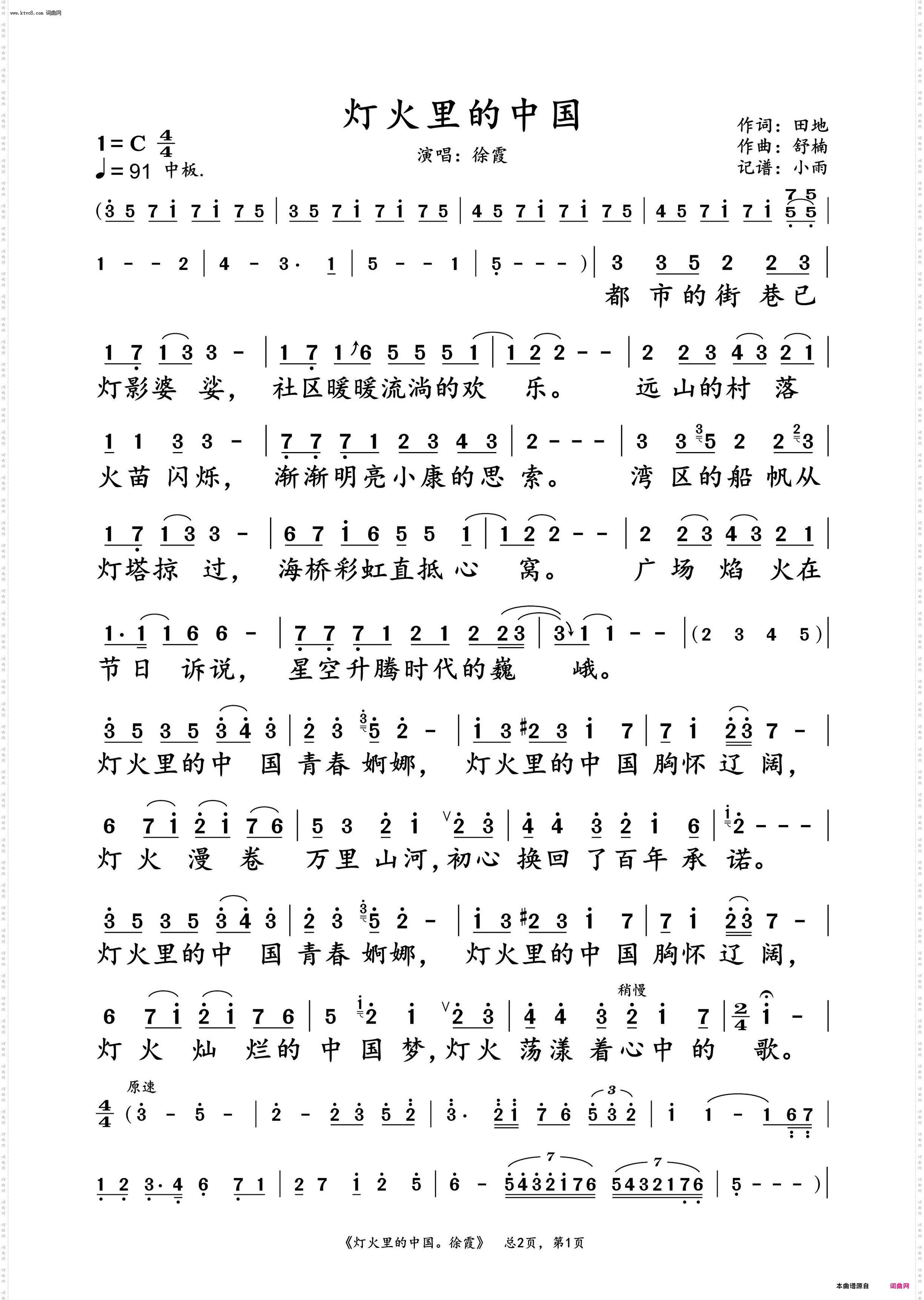
灯火里的中国_徐霞 演唱谱

灯火里的中国_徐霞 演唱谱

相关话题:灯火里的中国   田地   舒楠   徐霞

乐器分类
戏曲专栏
热门话题