首页 > 声乐 > 简谱 / 正文内容_越过山丘-越过山丘,高晓松,高晓松,杨宗纬简谱

越过山丘-越过山丘,高晓松,高晓松,杨宗纬简谱

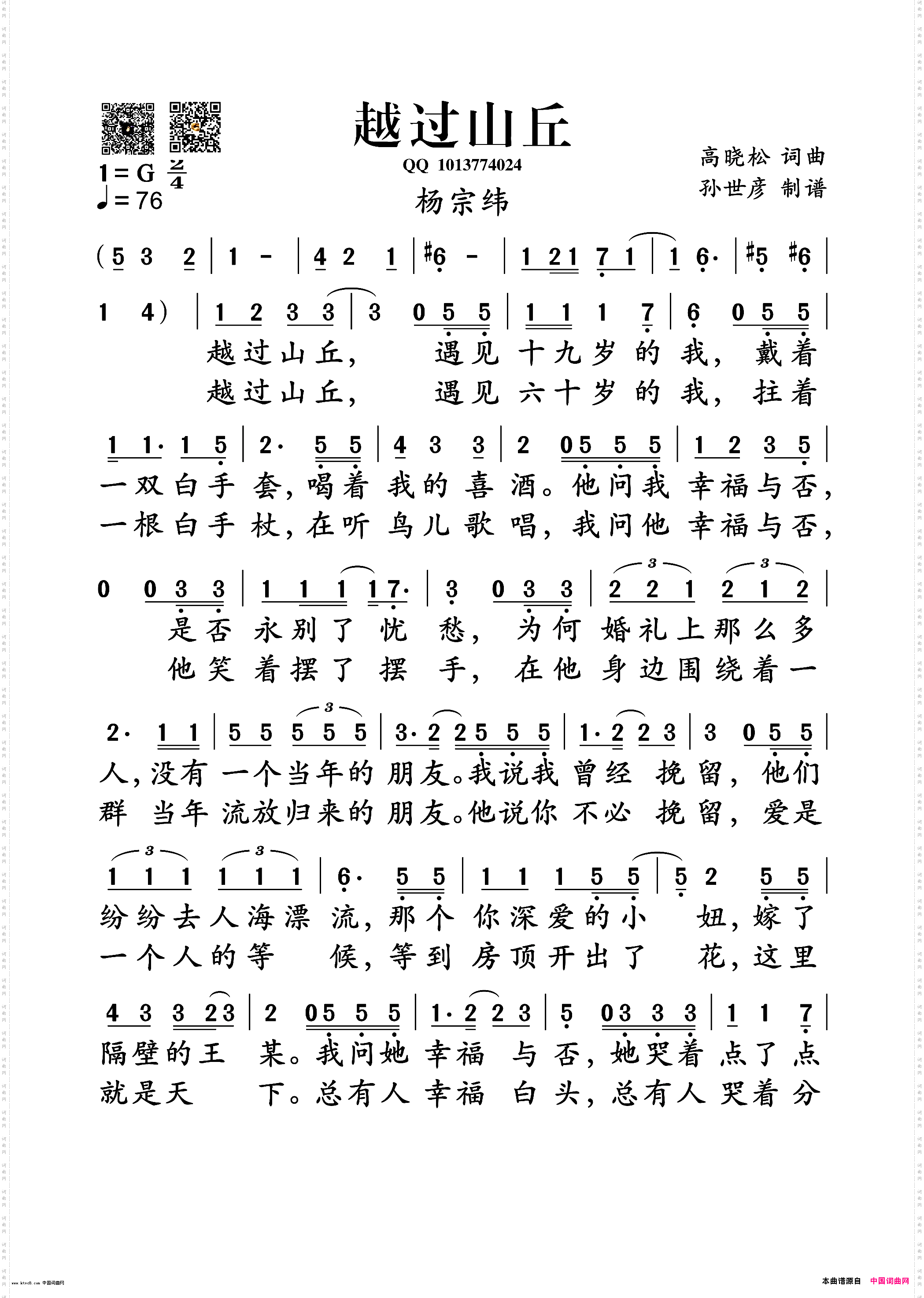
越过山丘

越过山丘

相关话题:越过山丘   高晓松   高晓松   杨宗纬

乐器分类
戏曲专栏
热门话题