首页 > 声乐 > 简谱 / 正文内容_人民的领袖万万岁-郭沫若,贺绿汀简谱

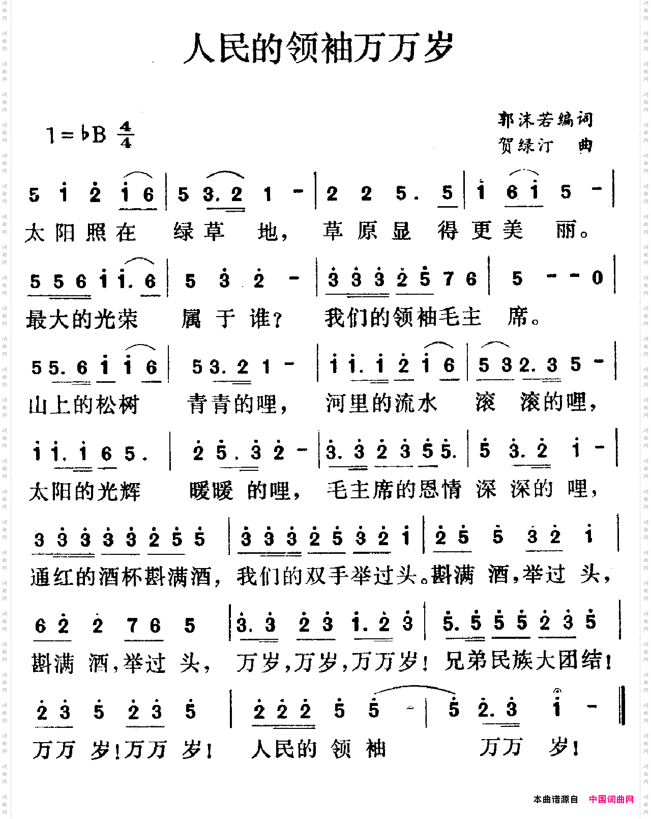
人民的领袖万万岁-郭沫若,贺绿汀简谱

人民的领袖万万岁

相关话题:郭沫若   贺绿汀

乐器分类
戏曲专栏
热门话题