首页 > 声乐 > 简谱 / 正文内容_我爱太阳春写给太阳村的孩子们-杨永斌,孙广志,孙广志简谱

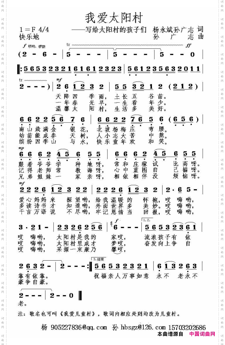
我爱太阳春写给太阳村的孩子们-杨永斌,孙广志,孙广志简谱

我爱太阳春写给太阳村的孩子们

相关话题:杨永斌   孙广志   孙广志

乐器分类
戏曲专栏
热门话题