首页 > 声乐 > 简谱 / 正文内容_永远的樵夫-永远的樵夫,许冬子,吴雄,袁冰简谱

永远的樵夫-永远的樵夫,许冬子,吴雄,袁冰简谱

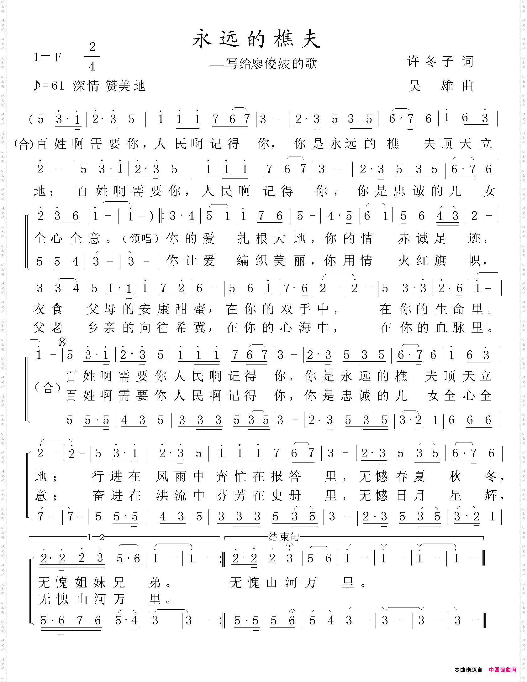
永远的樵夫

相关话题:永远的樵夫   许冬子   吴雄   袁冰

乐器分类
戏曲专栏
热门话题