首页 > 声乐 > 简谱 / 正文内容_安全拍手歌-安全拍手歌,小弩,小弩简谱

安全拍手歌-安全拍手歌,小弩,小弩简谱

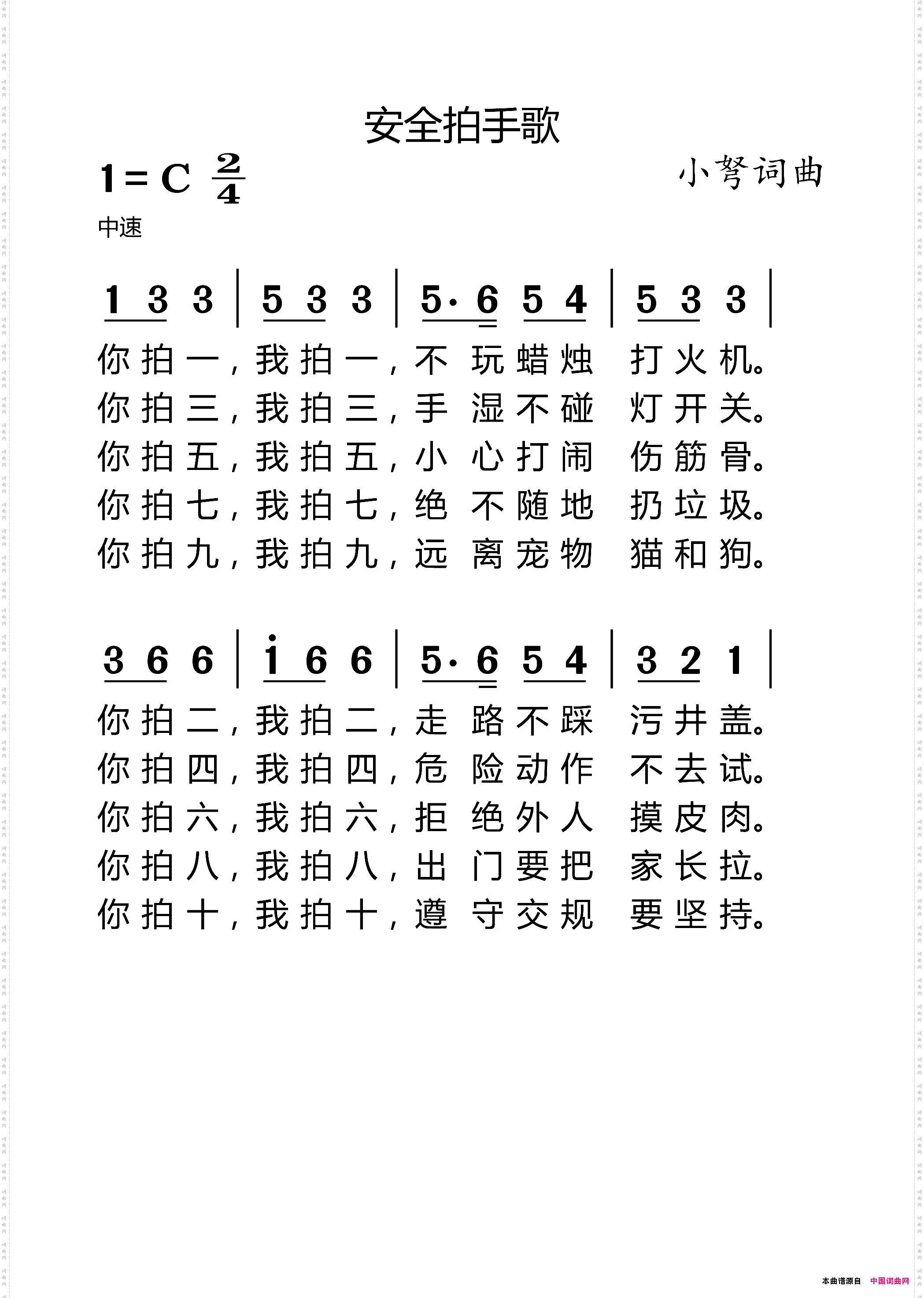
安全拍手歌

相关话题:安全拍手歌   小弩   小弩

乐器分类
戏曲专栏
热门话题