首页 > 声乐 > 简谱 / 正文内容_海峡的圆月亮-海峡的圆月亮,李雁新,陈明简谱

海峡的圆月亮-海峡的圆月亮,李雁新,陈明简谱

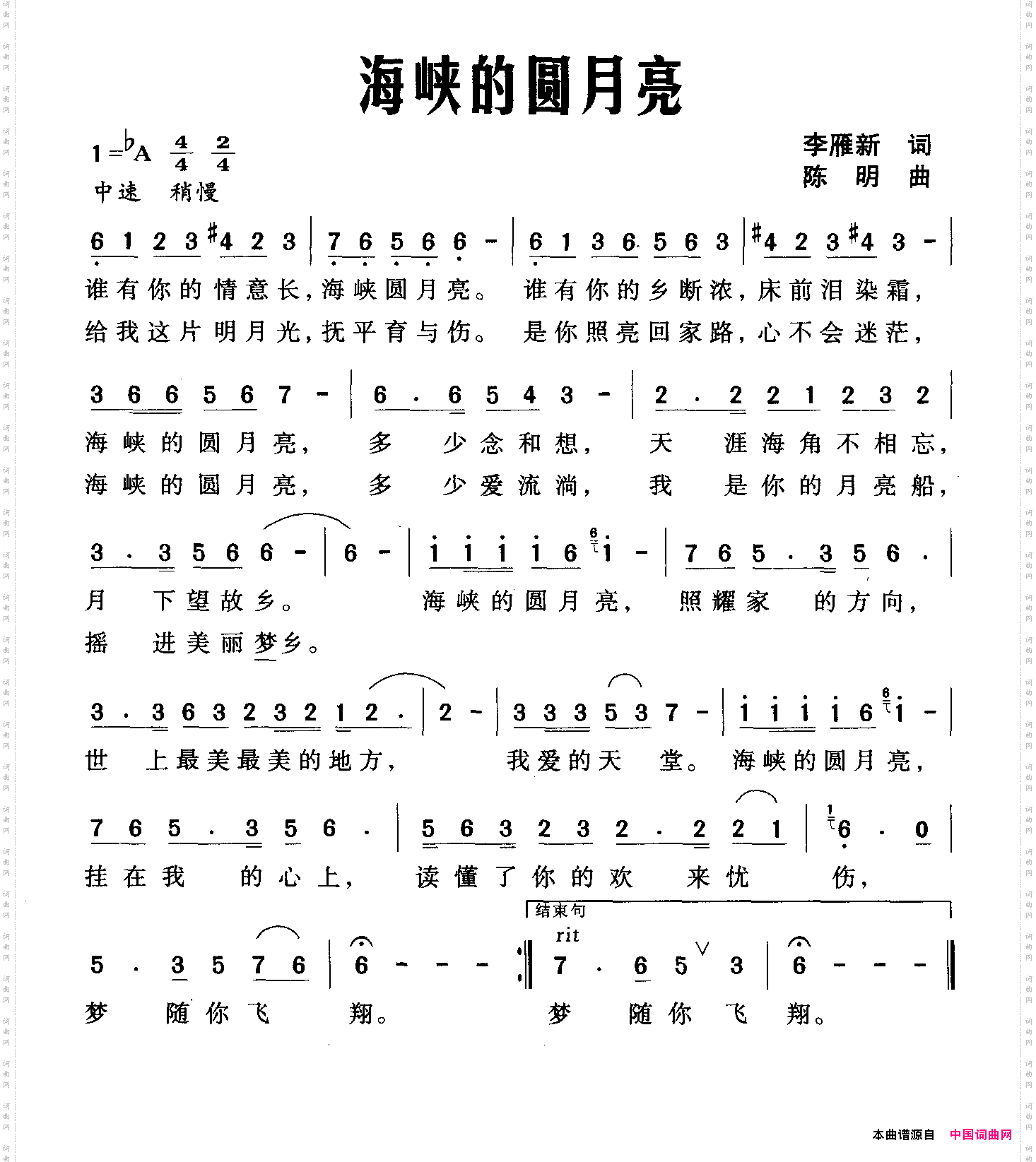
海峡的圆月亮

相关话题:海峡的圆月亮   李雁新   陈明

乐器分类
戏曲专栏
热门话题