首页 > 声乐 > 简谱 / 正文内容_邂逅回忆-邂逅回忆,新哥,梓涵,晓喜儿,风语简谱

邂逅回忆-邂逅回忆,新哥,梓涵,晓喜儿,风语简谱

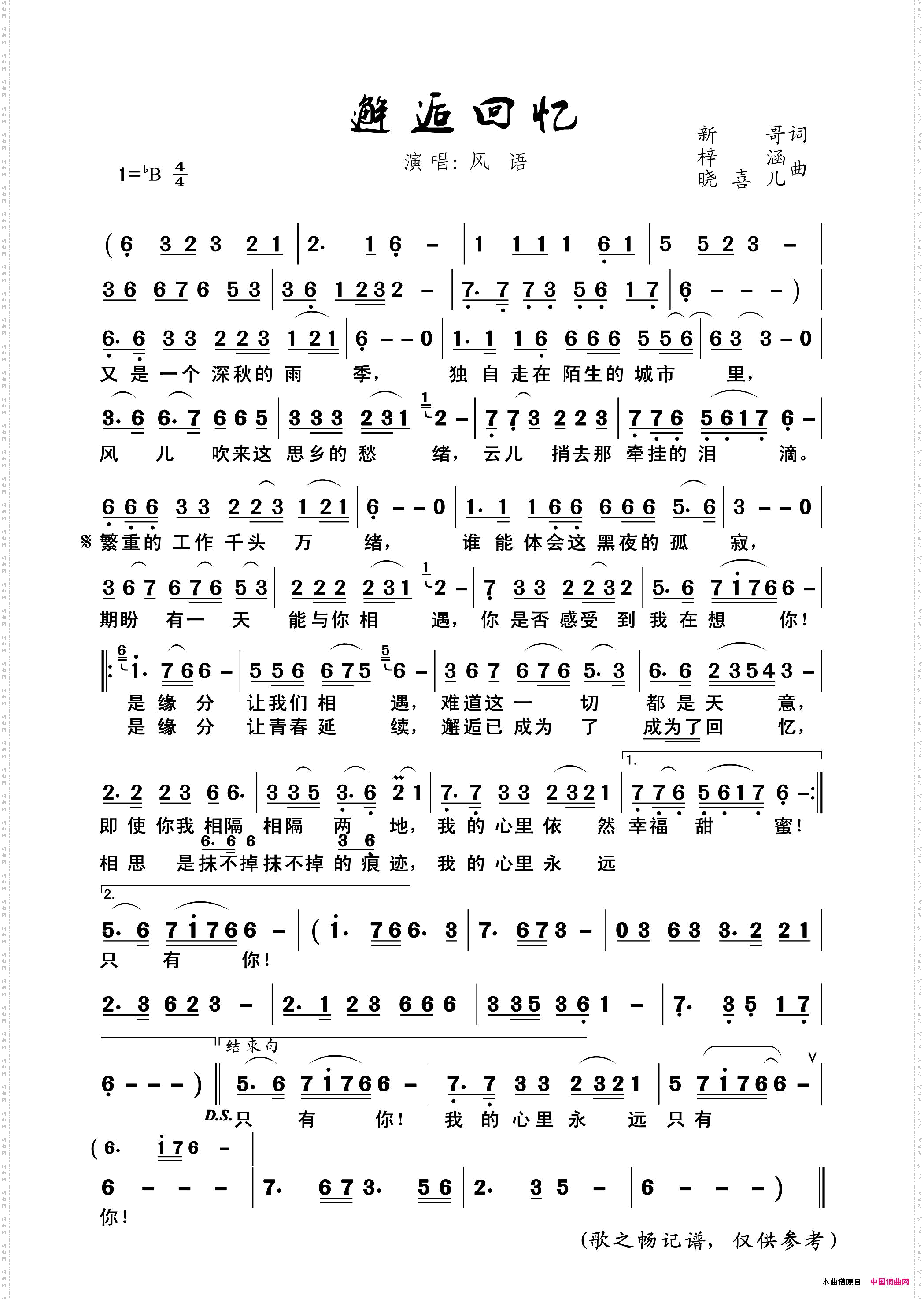
邂逅回忆

相关话题:邂逅回忆   新哥   梓涵   晓喜儿   风语

乐器分类
戏曲专栏
热门话题