首页 > 声乐 > 简谱 / 正文内容_五十年代-五十年代简谱

五十年代-五十年代简谱

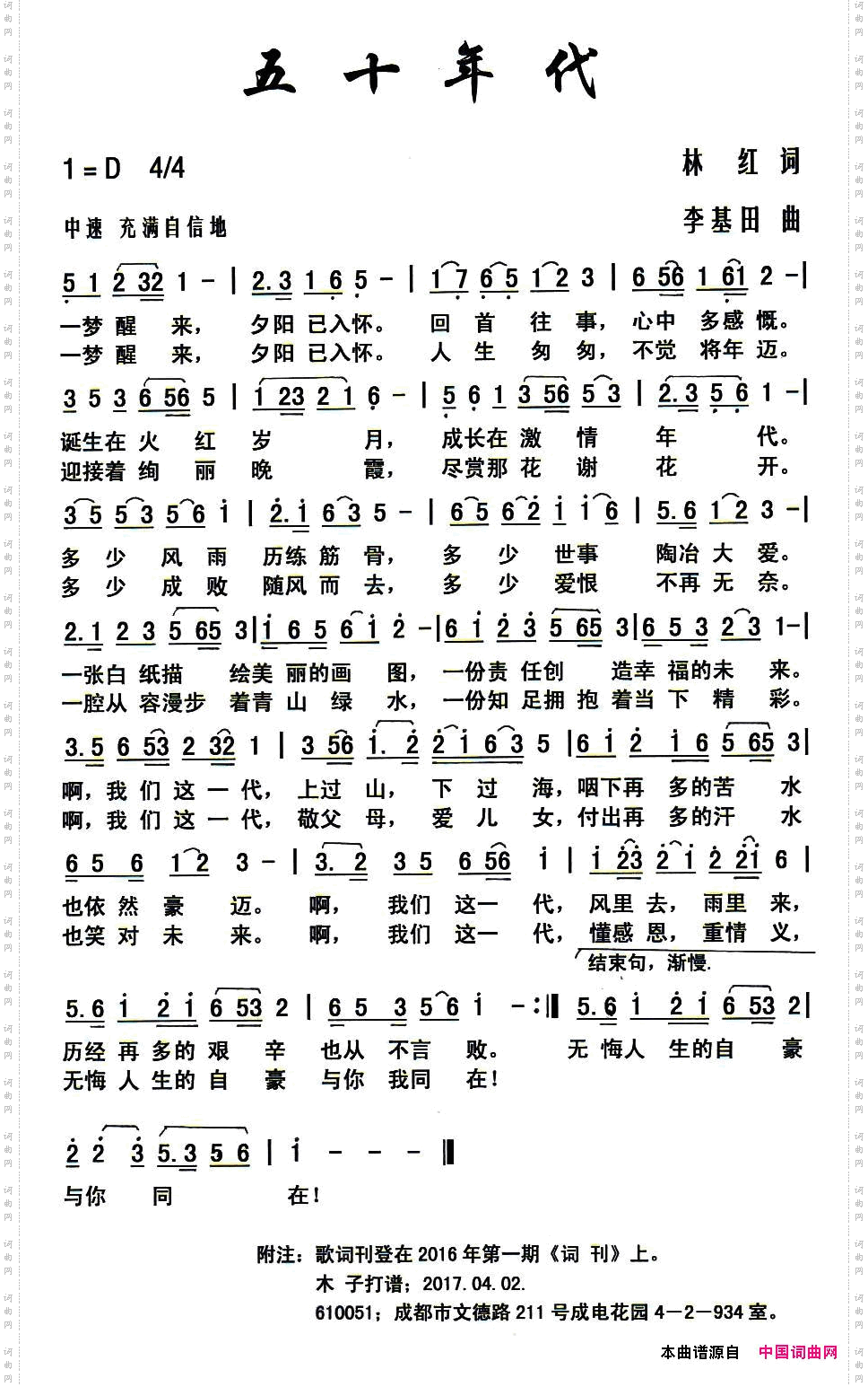
五十年代

相关话题:五十年代

猜你喜欢的简谱

    暂无相关信息
乐器分类
戏曲专栏
热门话题