首页 > 声乐 > 简谱 / 正文内容_中国红-中国红,李官明,蔡体润简谱

中国红-中国红,李官明,蔡体润简谱

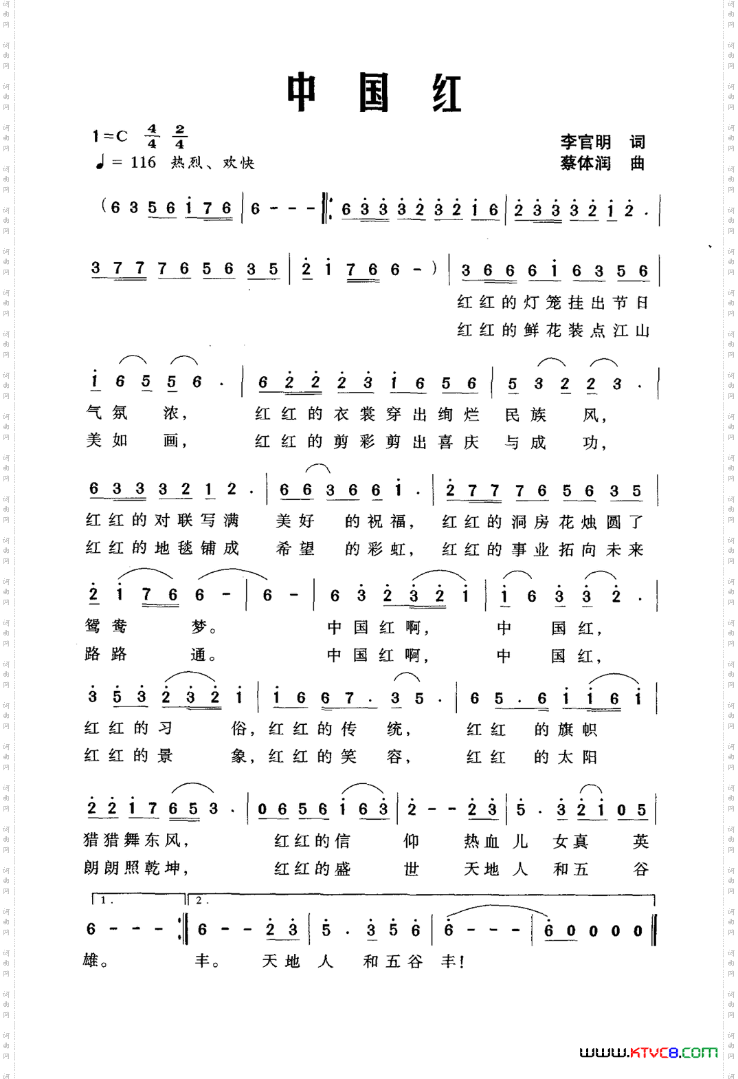
中国红

相关话题:中国红   李官明   蔡体润

乐器分类
戏曲专栏
热门话题