首页 > 声乐 > 简谱 / 正文内容_将进酒_胡夏、李玉刚 演唱谱-将进酒,李白,唐潮,杨晓磊,胡夏,李玉刚简谱

将进酒_胡夏、李玉刚 演唱谱-将进酒,李白,唐潮,杨晓磊,胡夏,李玉刚简谱

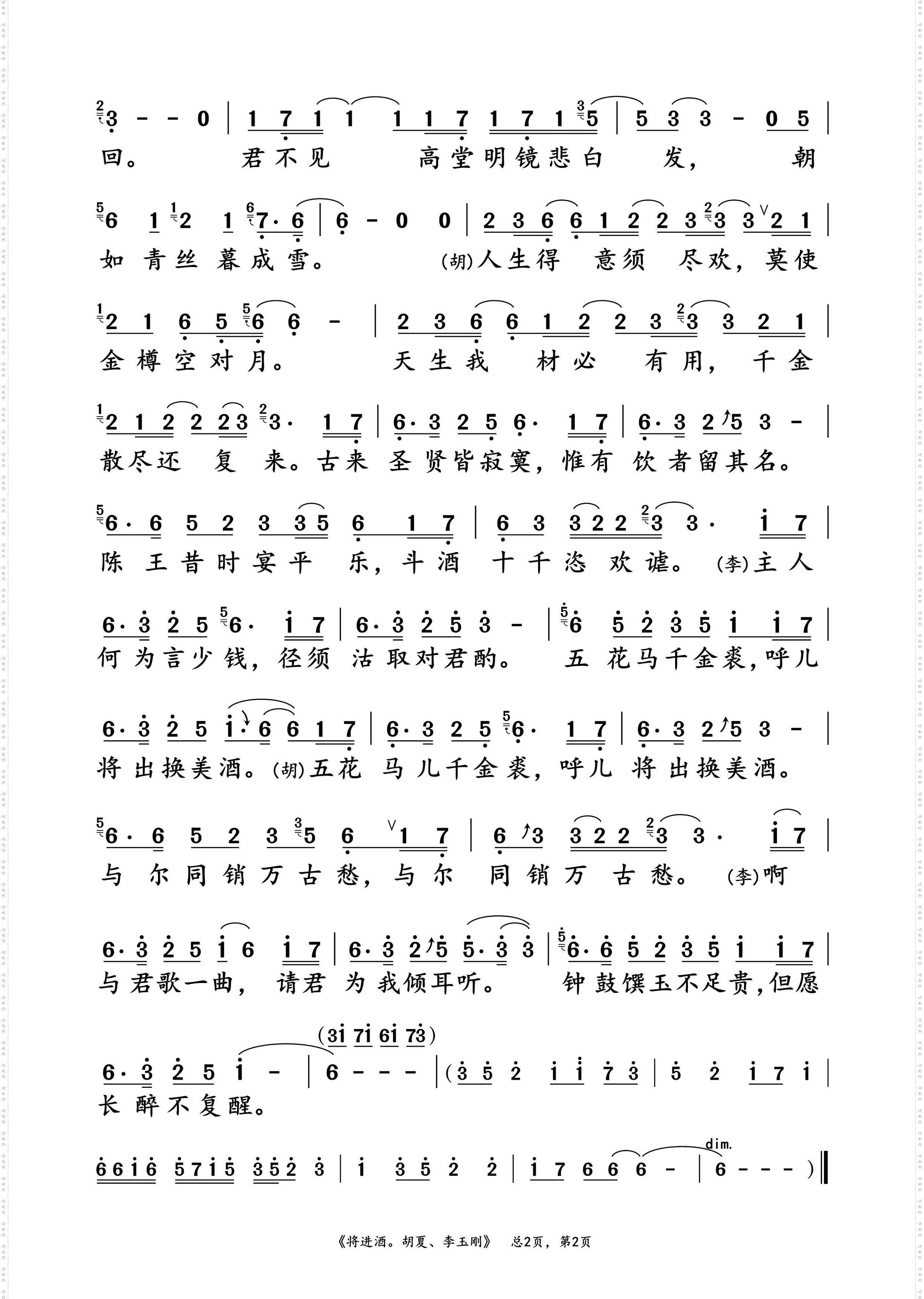
将进酒_胡夏、李玉刚 演唱谱

将进酒_胡夏、李玉刚 演唱谱

相关话题:将进酒   李白   唐潮   杨晓磊   胡夏   李玉刚

乐器分类
戏曲专栏
热门话题