首页 > 声乐 > 简谱 / 正文内容_午夜流泪听情歌-简谱

午夜流泪听情歌-简谱

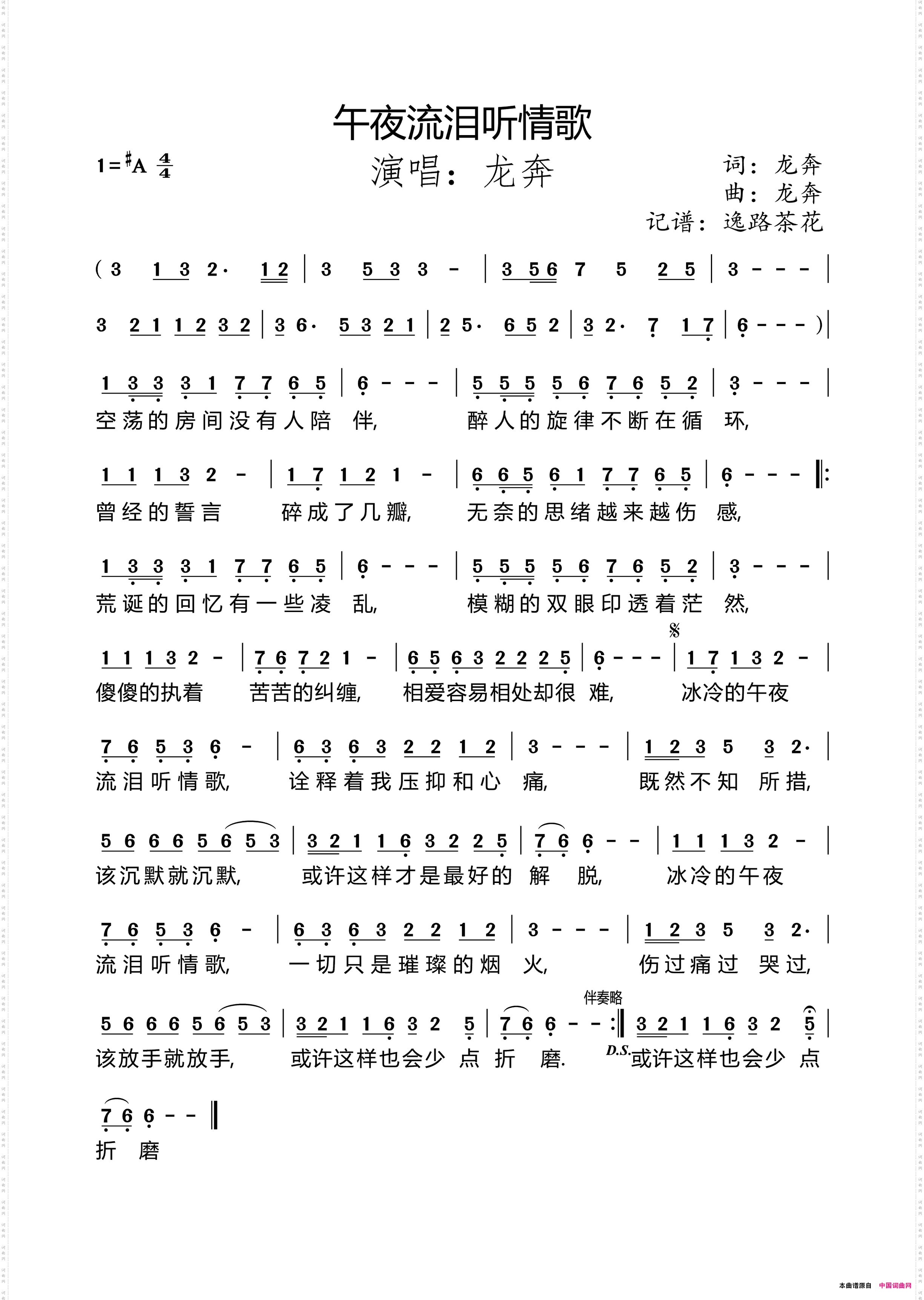
午夜流泪听情歌

相关话题:

猜你喜欢的简谱

    暂无相关信息
乐器分类
戏曲专栏
热门话题