首页 > 声乐 > 简谱 / 正文内容_天上人间-天上人间,李荫保,孙顺忠简谱

天上人间-天上人间,李荫保,孙顺忠简谱

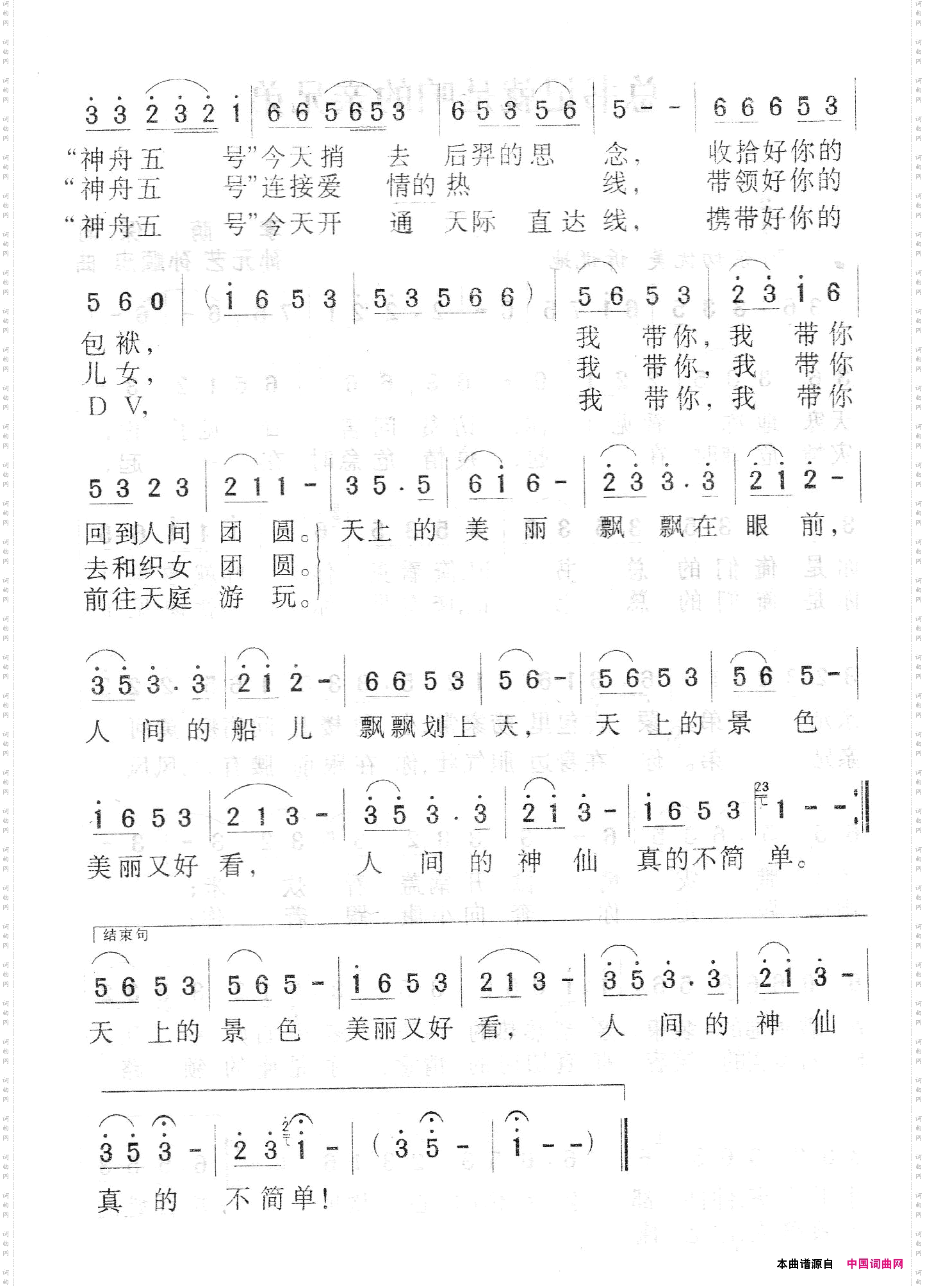
天上人间

天上人间

相关话题:天上人间   李荫保   孙顺忠

乐器分类
戏曲专栏
热门话题