首页 > 声乐 > 简谱 / 正文内容_难报母恩泪汪汪-甘文平,甘文平简谱

难报母恩泪汪汪-甘文平,甘文平简谱

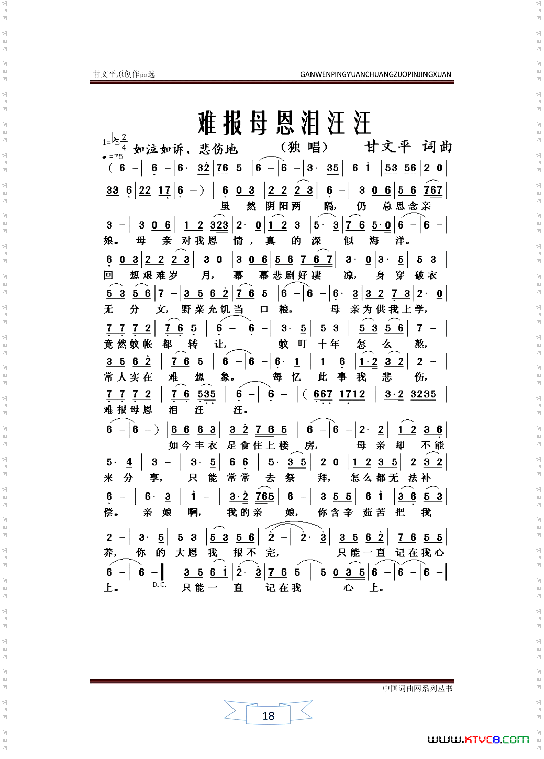
难报母恩泪汪汪

相关话题:甘文平   甘文平

乐器分类
戏曲专栏
热门话题