首页 > 声乐 > 简谱 / 正文内容_巨龙腾飞-巨龙腾飞,甘文平,甘文平简谱

巨龙腾飞-巨龙腾飞,甘文平,甘文平简谱

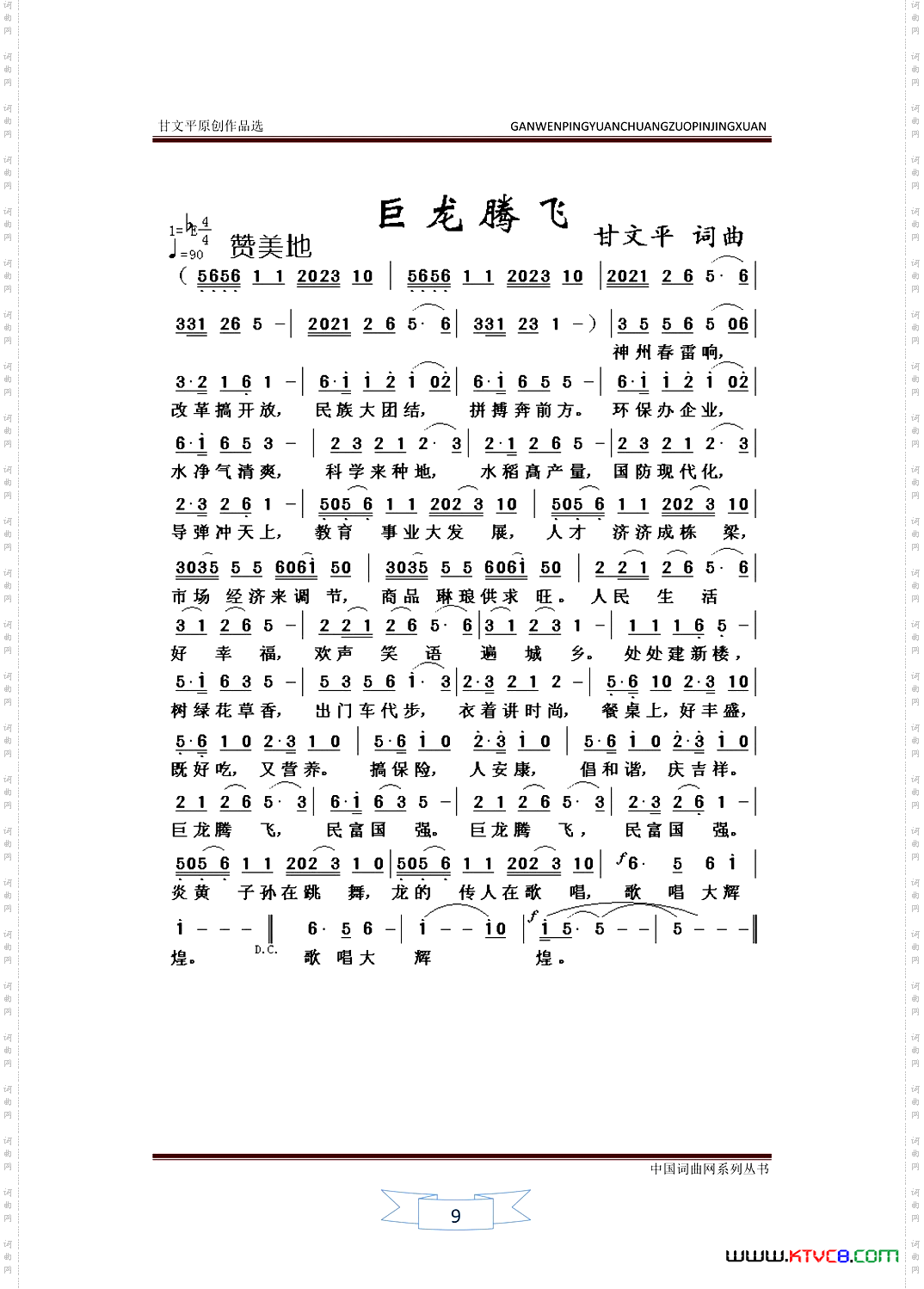
巨龙腾飞

相关话题:巨龙腾飞   甘文平   甘文平

乐器分类
戏曲专栏
热门话题