首页 > 声乐 > 简谱 / 正文内容_半汤温泉赞-半汤温泉赞,邬大为,黄大鹏简谱

半汤温泉赞-半汤温泉赞,邬大为,黄大鹏简谱

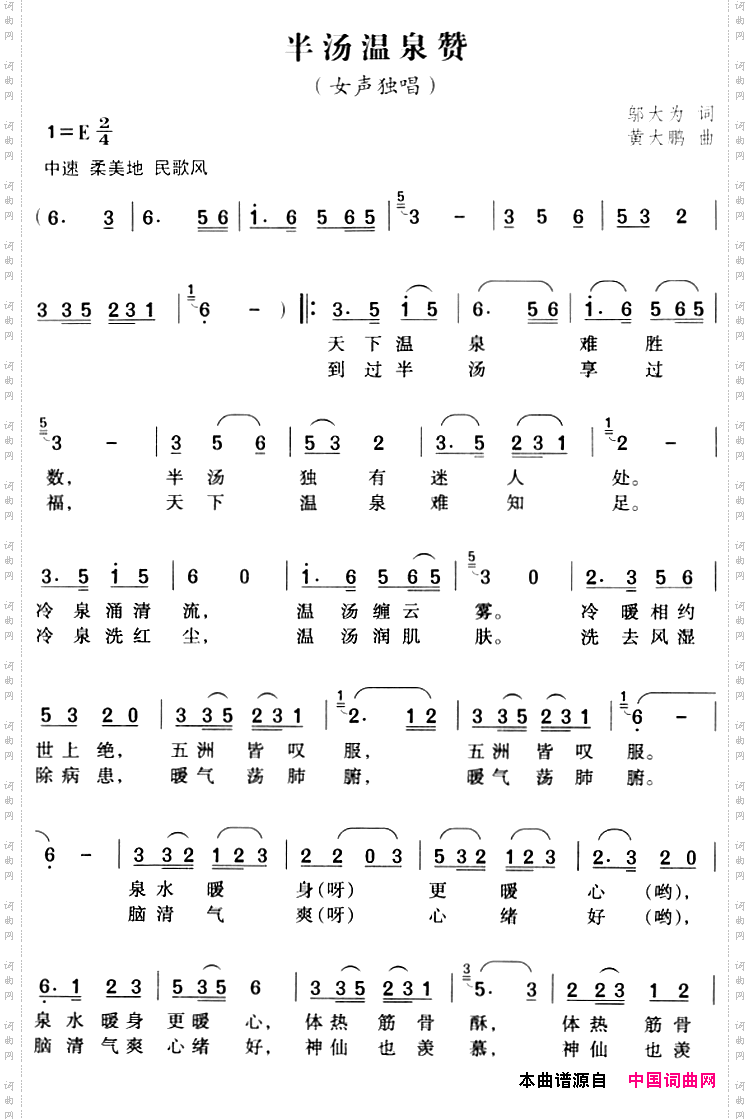
半汤温泉赞

半汤温泉赞

相关话题:半汤温泉赞   邬大为   黄大鹏

乐器分类
戏曲专栏
热门话题