首页 > 声乐 > 简谱 / 正文内容_牧马城市-牧马城市,段思思,谭旋,毛不易,蔡科俊简谱

牧马城市-牧马城市,段思思,谭旋,毛不易,蔡科俊简谱

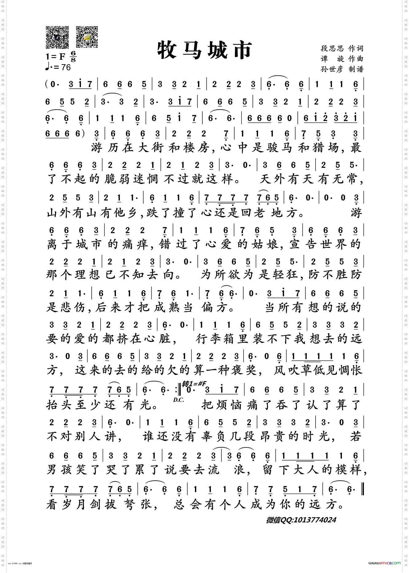
牧马城市

牧马城市

牧马城市

牧马城市

牧马城市

相关话题:牧马城市   段思思   谭旋   毛不易   蔡科俊

乐器分类
戏曲专栏
热门话题