首页 > 声乐 > 简谱 / 正文内容_二话西游-二话西游,徐誉滕,徐誉滕,徐誉滕,徐誉滕简谱

二话西游-二话西游,徐誉滕,徐誉滕,徐誉滕,徐誉滕简谱

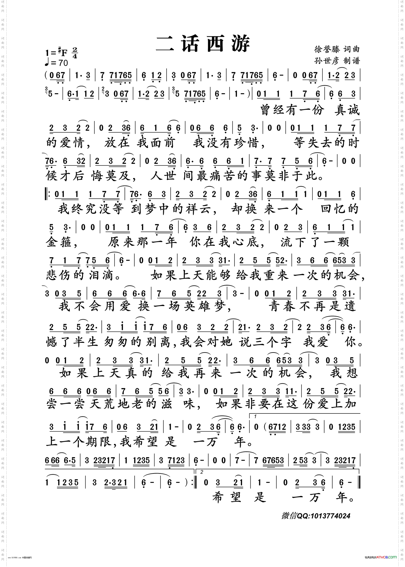
二话西游

相关话题:二话西游   徐誉滕   徐誉滕   徐誉滕   徐誉滕

乐器分类
戏曲专栏
热门话题