首页 > 声乐 > 简谱 / 正文内容_没有车没有房-没有车没有房,孙辉,连伟,孙辉,连伟,孙辉简谱

没有车没有房-没有车没有房,孙辉,连伟,孙辉,连伟,孙辉简谱

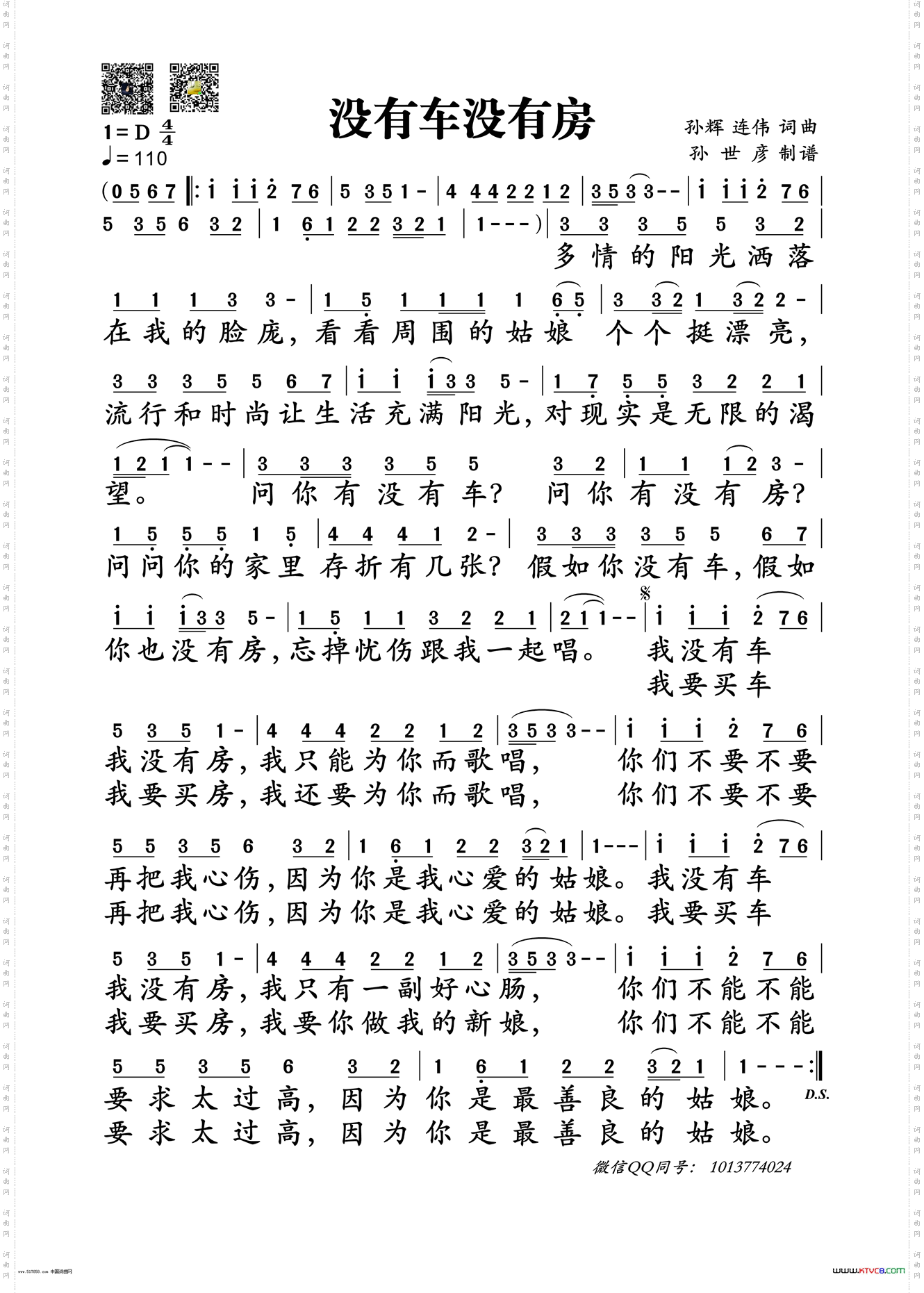
没有车没有房

相关话题:没有车没有房   孙辉   连伟   孙辉   连伟   孙辉

乐器分类
戏曲专栏
热门话题