首页 > 声乐 > 简谱 / 正文内容_水星记-水星记,郭顶,郭顶,郭顶,陈明简谱

水星记-水星记,郭顶,郭顶,郭顶,陈明简谱

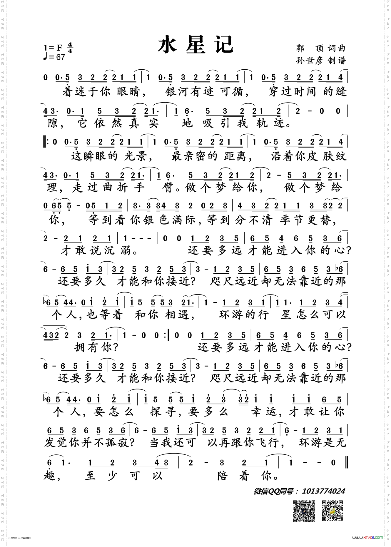
水星记

相关话题:水星记   郭顶   郭顶   郭顶   陈明

乐器分类
戏曲专栏
热门话题