首页 > 声乐 > 简谱 / 正文内容_只要平凡-只要平凡,格格,黄超,张杰,张碧晨简谱

只要平凡-只要平凡,格格,黄超,张杰,张碧晨简谱

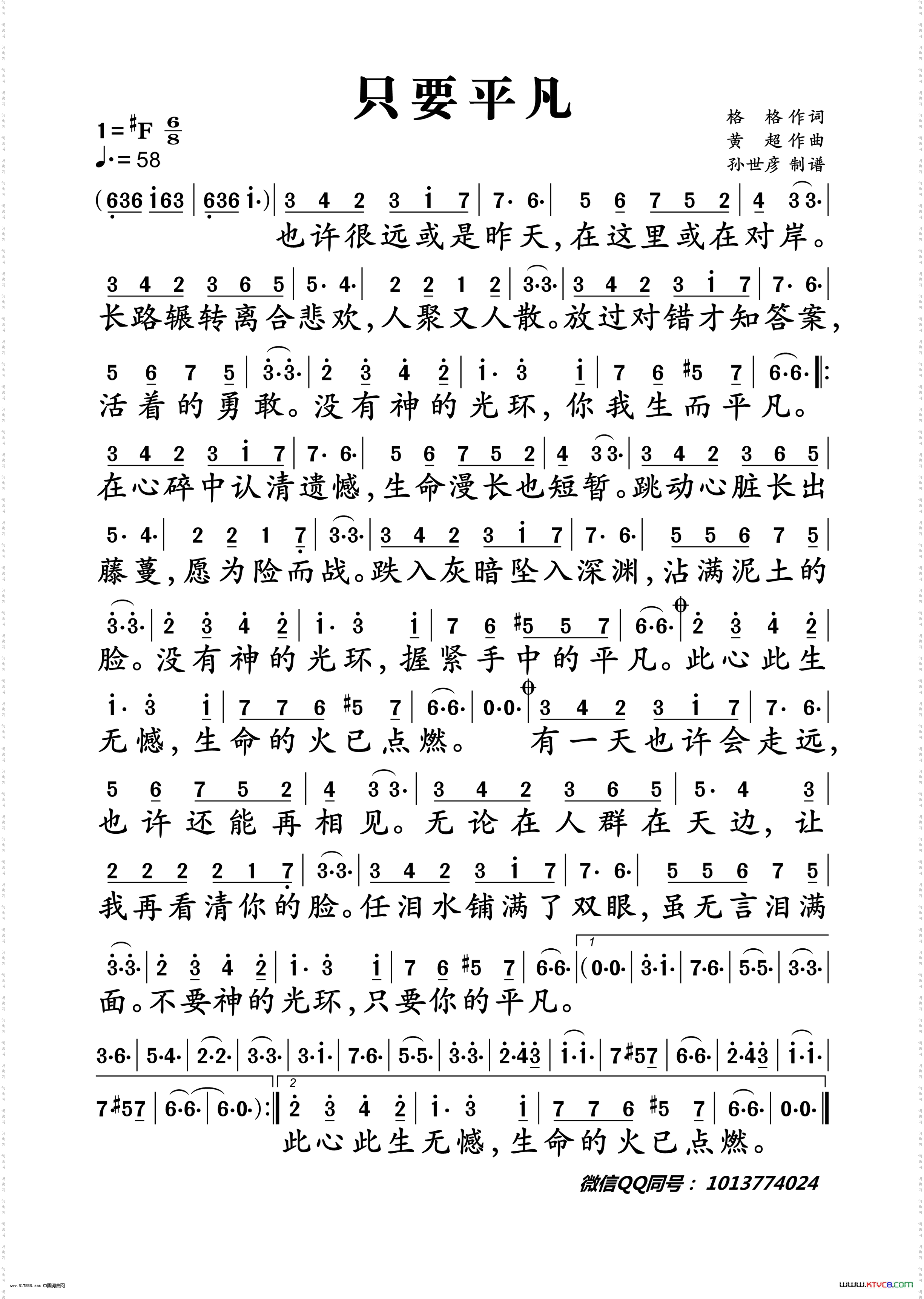
只要平凡

相关话题:只要平凡   格格   黄超   张杰   张碧晨

乐器分类
戏曲专栏
热门话题