首页 > 声乐 > 简谱 / 正文内容_铁皮青蛙-铁皮青蛙,徐誉滕,徐誉滕,徐誉滕,徐誉滕简谱

铁皮青蛙-铁皮青蛙,徐誉滕,徐誉滕,徐誉滕,徐誉滕简谱

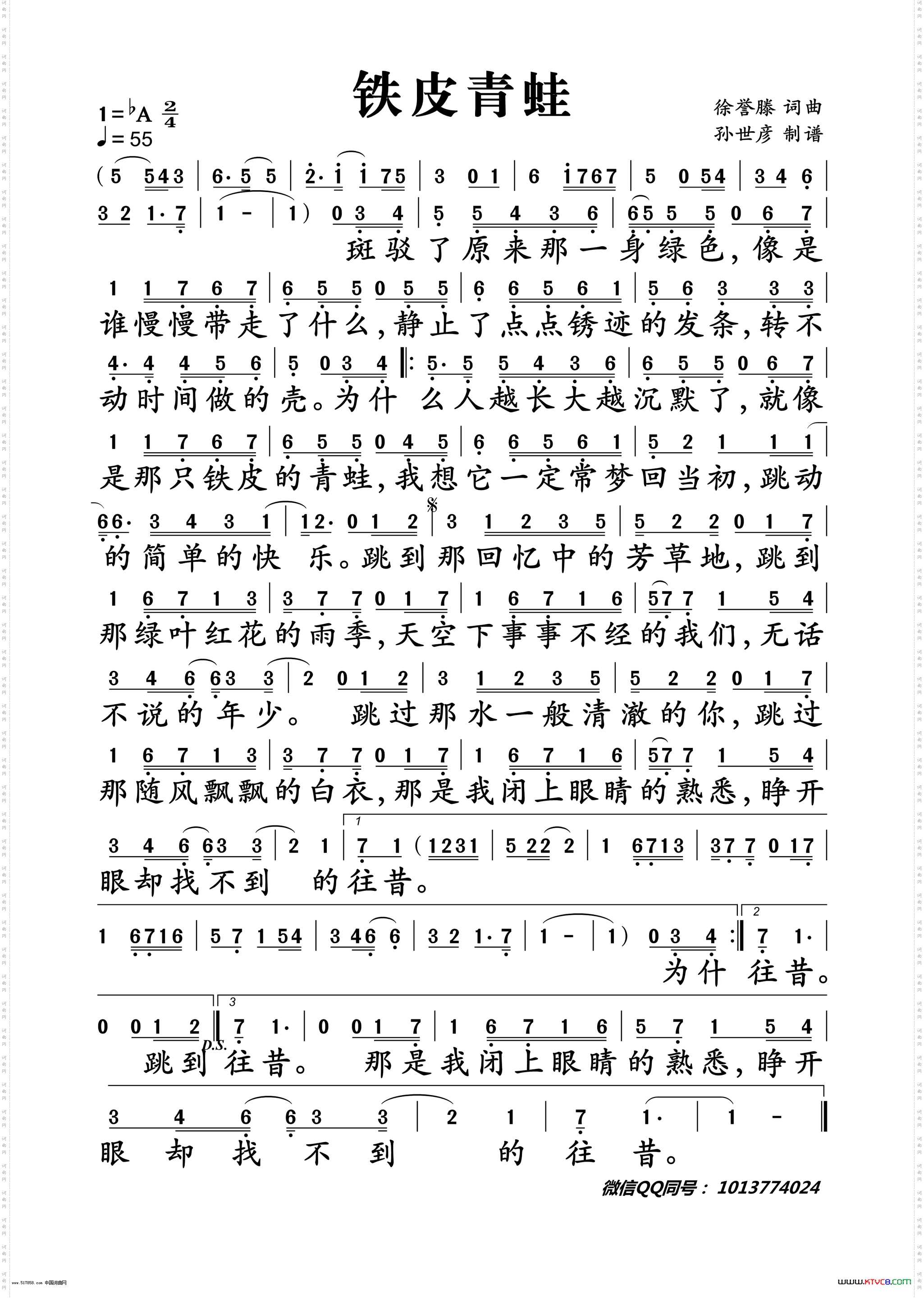
铁皮青蛙

相关话题:铁皮青蛙   徐誉滕   徐誉滕   徐誉滕   徐誉滕

乐器分类
戏曲专栏
热门话题