首页 > 声乐 > 简谱 / 正文内容_徐誉滕你不懂我-徐誉滕,徐誉滕,徐誉滕,徐誉滕简谱

徐誉滕你不懂我-徐誉滕,徐誉滕,徐誉滕,徐誉滕简谱

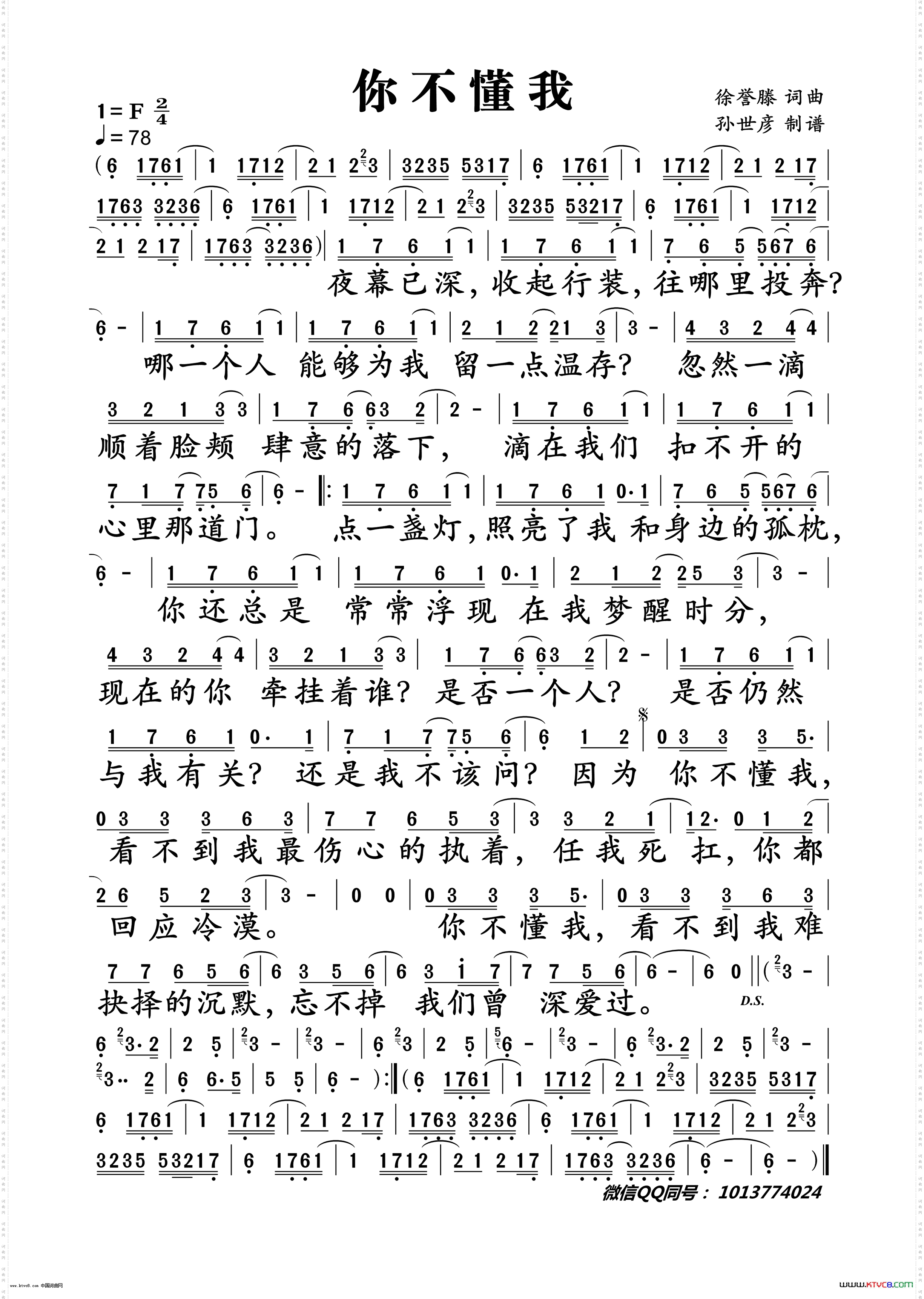
徐誉滕你不懂我

相关话题:徐誉滕   徐誉滕   徐誉滕   徐誉滕

乐器分类
戏曲专栏
热门话题