首页 > 声乐 > 简谱 / 正文内容_童年-童年,晨枫,张荣辉简谱

童年-童年,晨枫,张荣辉简谱

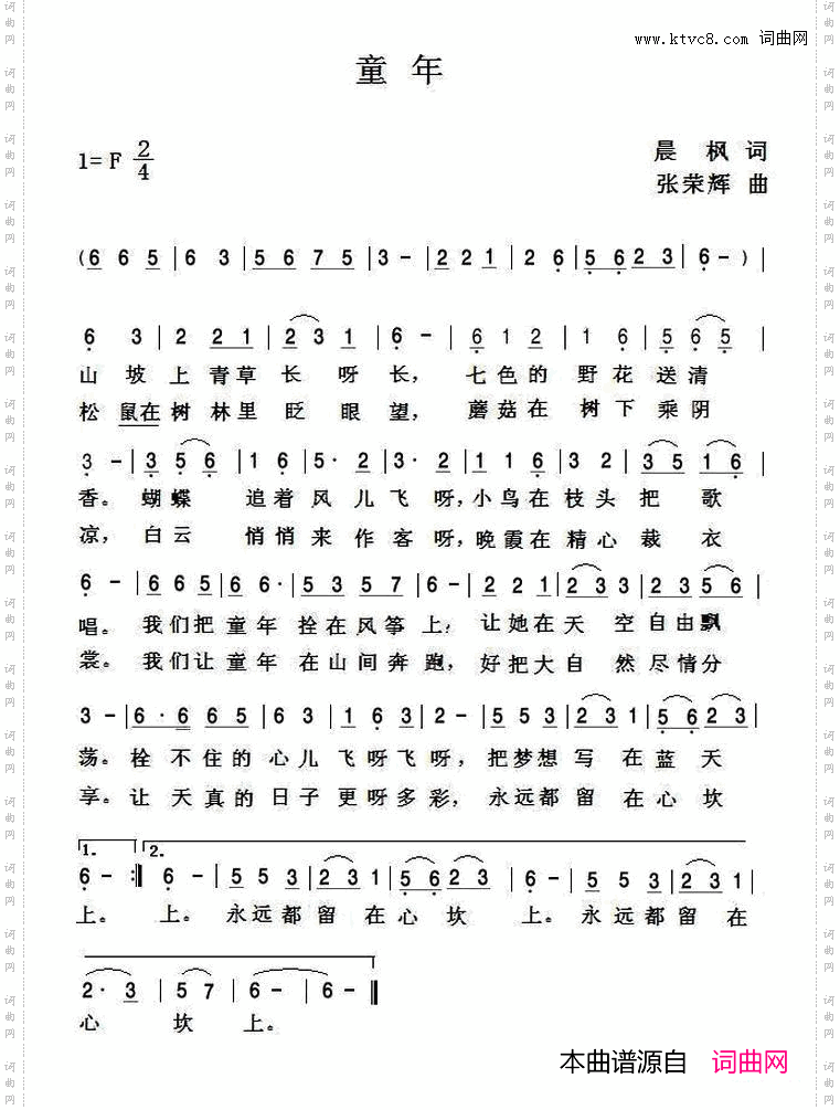
童年

相关话题:童年   晨枫   张荣辉

乐器分类
戏曲专栏
热门话题