首页 > 声乐 > 简谱 / 正文内容_等着士兵Ждисолдата中俄简谱_等着士兵Жди солдата中俄简谱-简谱

等着士兵Ждисолдата中俄简谱_等着士兵Жди солдата中俄简谱-简谱

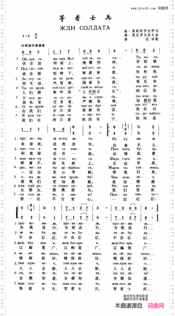
等着士兵Ждисолдата中俄简谱_等着士兵Жди солдата中俄简谱

相关话题:

猜你喜欢的简谱

    暂无相关信息
乐器分类
戏曲专栏
热门话题