首页 > 声乐 > 简谱 / 正文内容_黔地任我游-黔地任我游,邓承麟,邓承麟简谱

黔地任我游-黔地任我游,邓承麟,邓承麟简谱

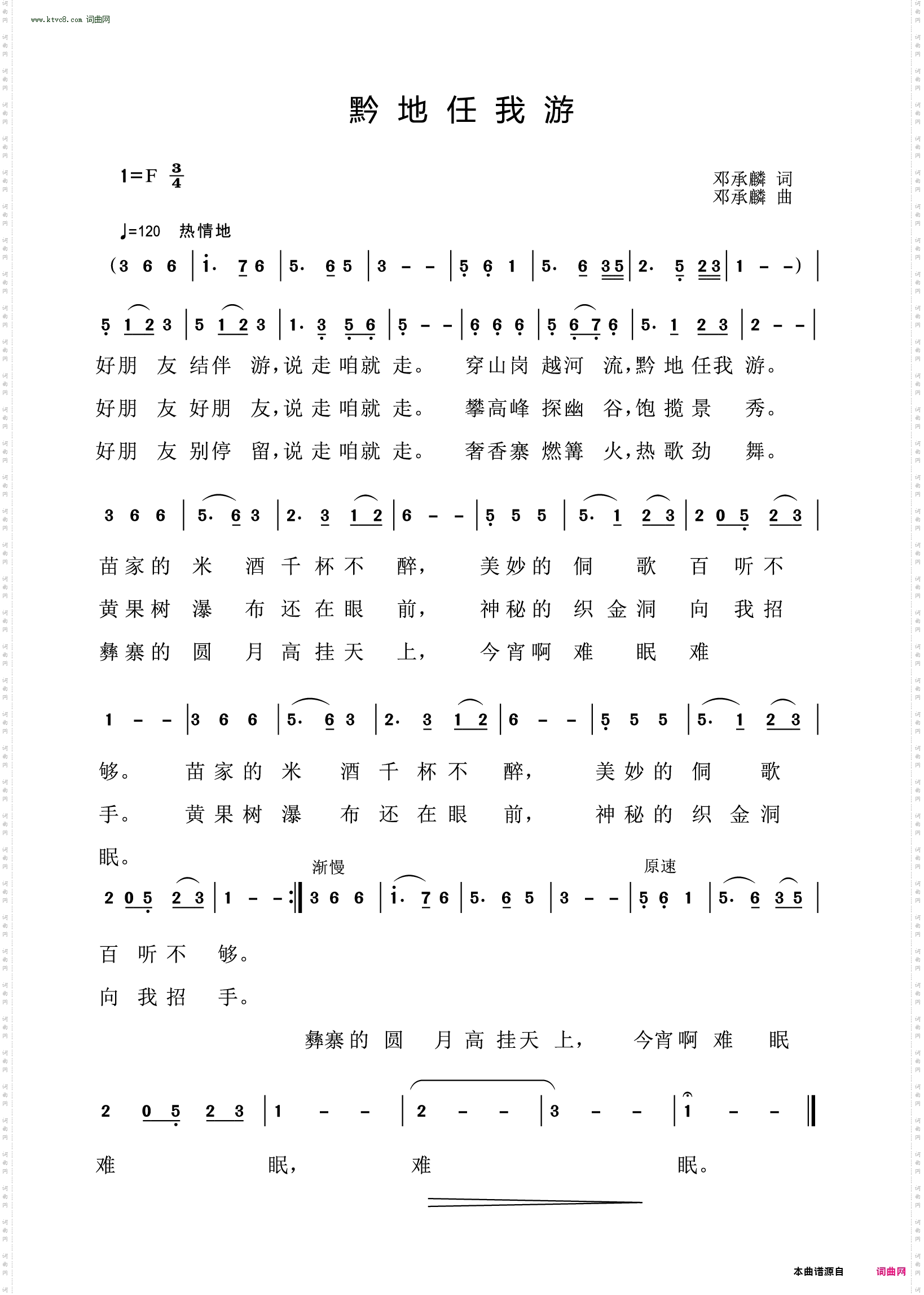
黔地任我游

相关话题:黔地任我游   邓承麟   邓承麟

乐器分类
戏曲专栏
热门话题