首页 > 声乐 > 简谱 / 正文内容_三个人的时光_纯音乐主旋律谱-三个人的时光,曾志豪,吴欣睿简谱

三个人的时光_纯音乐主旋律谱-三个人的时光,曾志豪,吴欣睿简谱

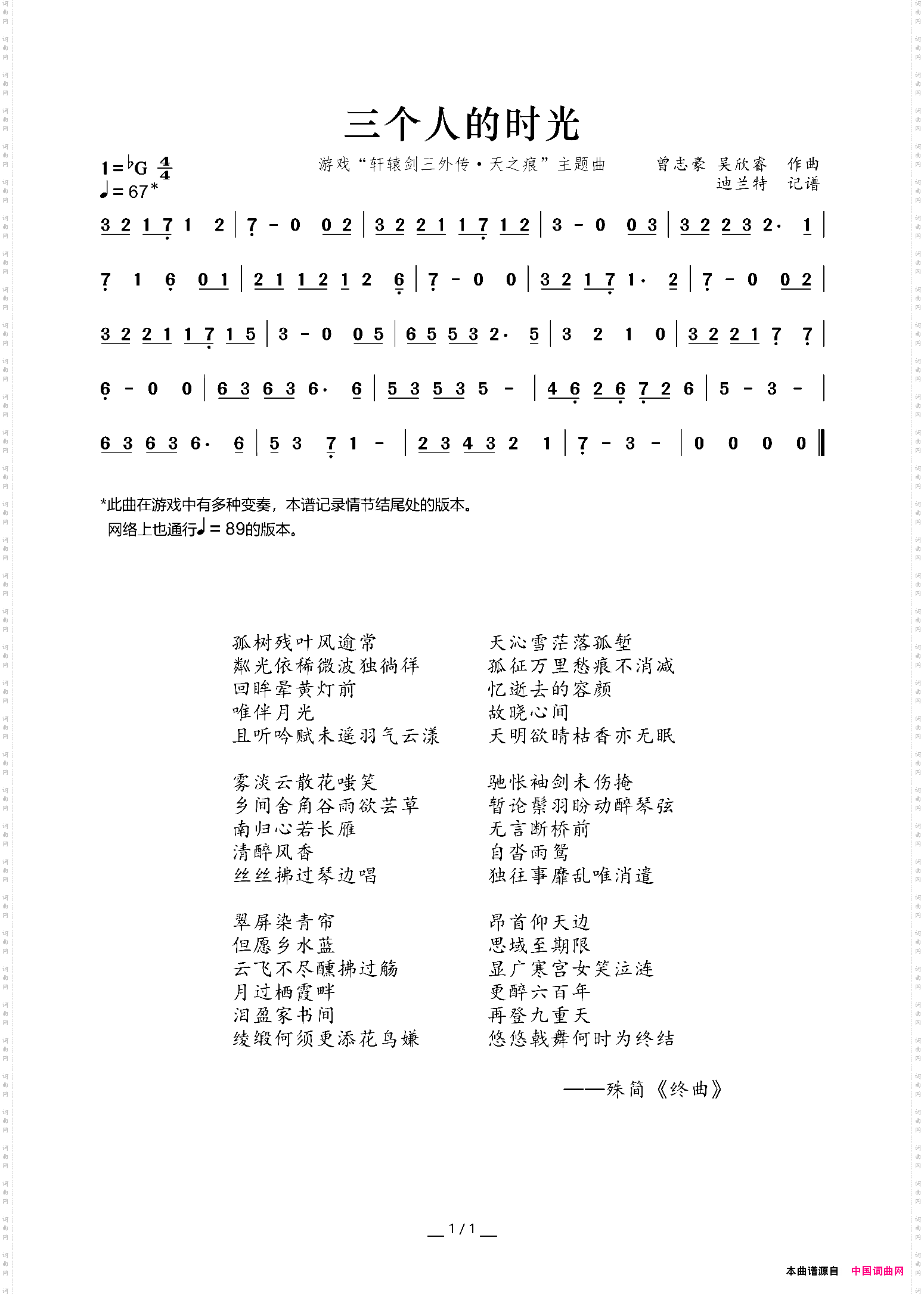
三个人的时光_纯音乐主旋律谱

相关话题:三个人的时光   曾志豪   吴欣睿

乐器分类
戏曲专栏
热门话题